z Mục lục tài liệu
Nội dung chi tiết

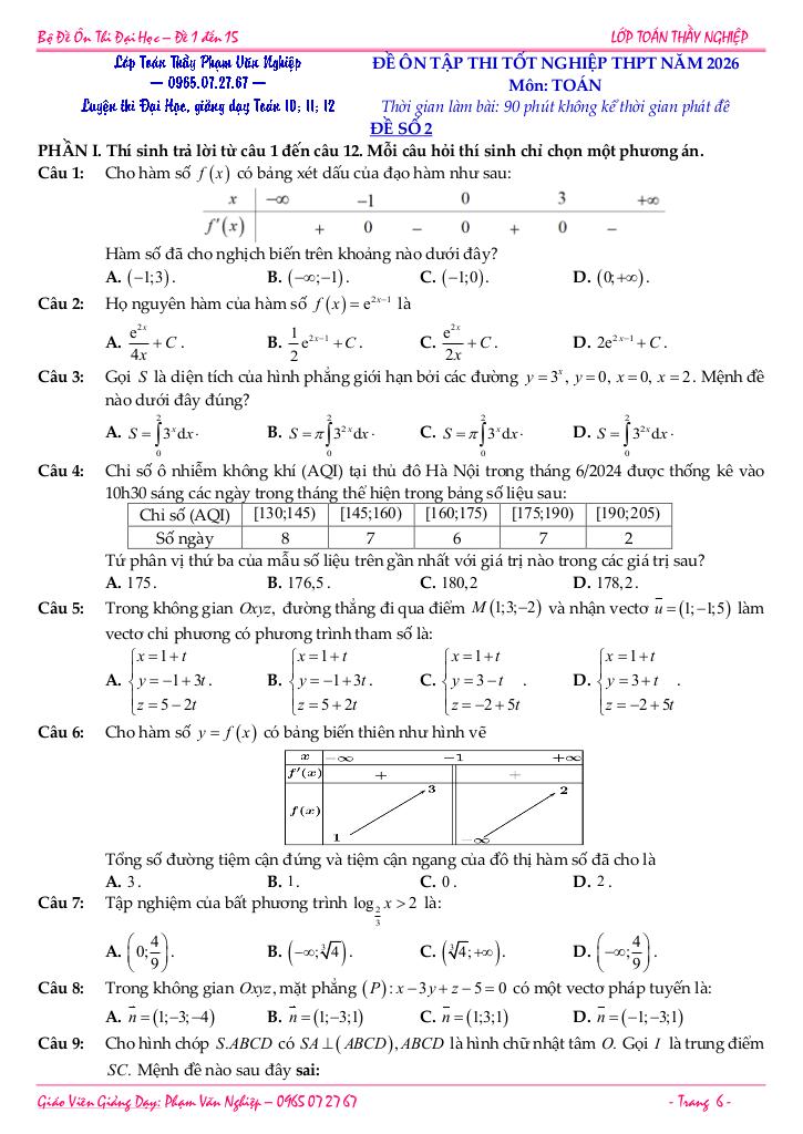
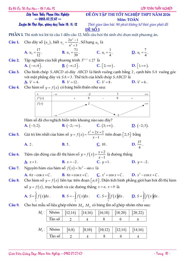
Tài liệu gồm 234 trang, được biên soạn bởi thầy giáo Phạm Văn Nghiệp, tuyển tập bộ đề ôn tập thi tốt nghiệp THPT môn Toán năm 2026.
Các đề thi trong bộ tài liệu bao quát đầy đủ những chuyên đề trọng tâm của chương trình Toán THPT, đặc biệt là kiến thức lớp 12. Hệ thống câu hỏi được thiết kế có tính phân hóa, giúp học sinh vừa củng cố nền tảng cơ bản, vừa rèn luyện kỹ năng xử lý các câu hỏi vận dụng và vận dụng cao – yếu tố quyết định điểm số trong bài thi.
Bộ đề phù hợp cho quá trình luyện đề tổng hợp, giúp học sinh làm quen áp lực thời gian, nâng cao khả năng phân tích đề thi và xây dựng chiến lược làm bài hợp lý. Đây cũng là nguồn tham khảo hữu ích cho giáo viên trong việc tổ chức ôn tập và xây dựng kế hoạch chuẩn bị cho kỳ thi tốt nghiệp THPT năm 2026.
Download Center
Chọn tài liệu bạn muốn tải về
















