
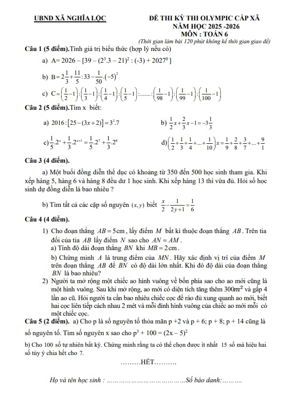
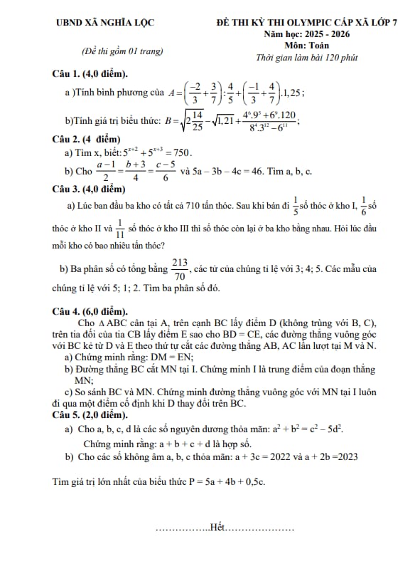
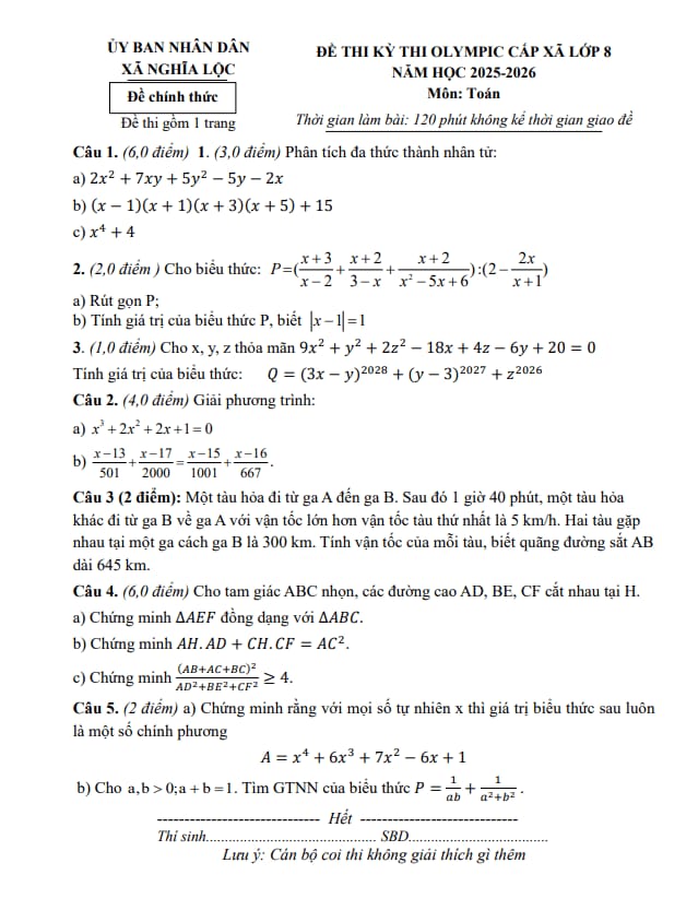
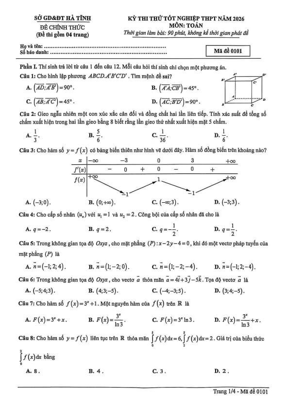
Môn Toán (Math)
Montoan.com.vn là website chuyên cung cấp tài nguyên học toán đa dạng và chất lượng cao, phù hợp với mọi đối tượng từ học sinh, sinh viên đến giáo viên và người yêu thích toán học. Tại đây, bạn có thể tìm thấy tài liệu toán học phong phú, bao gồm sách giáo khoa, sách bài tập, đề thi toán các cấp, cũng như các bài trắc nghiệm giúp củng cố kiến thức. Website cập nhật thường xuyên các nội dung liên quan đến môn toán, hỗ trợ học tập hiệu quả với hệ thống bài giảng chi tiết, phương pháp giải bài tập sáng tạo. Đặc biệt, Montoan.com.vn còn cung cấp tài liệu toán nâng cao, giúp học sinh giỏi và các thí sinh ôn luyện kỳ thi quan trọng. Giao diện thân thiện, dễ sử dụng, hỗ trợ tìm kiếm nhanh chóng giúp người dùng tiếp cận tài liệu cần thiết chỉ trong vài giây. Bên cạnh đó, website còn có các chuyên mục giải bài tập trực tuyến, hỗ trợ học tập theo từng chuyên đề. Nếu bạn đang tìm kiếm nguồn tài liệu môn toán toàn diện, Montoan.com.vn chính là lựa chọn hàng đầu.
SGK Toán 12 - Kết nối tri thức
SGK Toán 12 - Cánh diều
SGK Toán 12 - Chân trời sáng tạo
SGK Toán 12 - Cùng khám phá
SBT Toán 12 - Kết nối tri thức
SBT Toán 12 - Cánh diều
SBT Toán 12 - Chân trời sáng tạo
Chuyên đề học tập Toán 12 - Kết nối tri thức
Chuyên đề học tập Toán 12 - Cánh diều
Chuyên đề học tập Toán 12 - Chân trời sáng tạo
Đề thi, đề kiểm tra Toán lớp 12 - Kết nối tri thức
Đề thi, đề kiểm tra Toán lớp 12 - Cánh diều
Đề thi, đề kiểm tra Toán lớp 12 - Chân trời sáng tạo
Đề thi tốt nghiệp THPT môn Toán
SGK Toán 11 - Kết nối tri thức
SGK Toán 11 - Cánh diều
SGK Toán 11 - Chân trời sáng tạo
SGK Toán 11 - Cùng khám phá
Chuyên đề học tập Toán 11 - Kết nối tri thức
Chuyên đề học tập Toán 11 - Cánh diều
Chuyên đề học tập Toán 11 - Chân trời sáng tạo
SBT Toán 11 - Kết nối tri thức
SBT Toán 11 - Cánh diều
SBT Toán 11 - Chân trời sáng tạo
SGK Toán 11 Nâng cao
Đề thi, đề kiểm tra Toán lớp 11 - Kết nối tri thức
Đề thi, đề kiểm tra Toán lớp 11 - Chân trời sáng tạo
Đề thi, đề kiểm tra Toán lớp 11 - Cánh diều
SGK Toán 10 - Kết nối tri thức
SGK Toán 10 - Chân trời sáng tạo
SGK Toán 10 - Cánh diều
SBT Toán 10 - Kết nối tri thức
SBT Toán 10 - Chân trời sáng tạo
SBT Toán 10 - Cánh diều
Chuyên đề học tập Toán 10 - Kết nối tri thức
Chuyên đề học tập Toán 10 - Chân trời sáng tạo
Chuyên đề học tập Toán 10 - Cánh diều
Đề thi, đề kiểm tra Toán lớp 10 - Kết nối tri thức
Đề thi, đề kiểm tra Toán lớp 10 - Chân trời sáng tạo
Đề thi, đề kiểm tra Toán lớp 10 - Cánh diều
Lý thuyết Toán 10
SGK Toán 9 - Kết nối tri thức
SGK Toán 9 - Chân trời sáng tạo
SGK Toán 9 - Cánh diều
SGK Toán 9 - Cùng khám phá
SBT Toán 9 - Kết nối tri thức
SBT Toán 9 - Chân trời sáng tạo
SBT Toán 9 - Cánh diều
Vở thực hành Toán 9
Đề thi, đề kiểm tra Toán lớp 9 - Kết nối tri thức
Đề thi, đề kiểm tra Toán lớp 9 - Chân trời sáng tạo
Đề thi, đề kiểm tra Toán lớp 9 - Cánh diều
Đề thi vào 10 môn Toán
Từ điển môn Toán lớp 9
SGK Toán 8 - Kết nối tri thức
SGK Toán 8 - Chân trời sáng tạo
SGK Toán 8 - Cánh diều
SGK Toán 8 - Cùng khám phá
SBT Toán 8 - Kết nối tri thức
SBT Toán 8 - Chân trời sáng tạo
SBT Toán 8 - Cánh diều
Vở thực hành Toán 8
Đề thi, đề kiểm tra Toán lớp 8 - Kết nối tri thức
Đề thi, đề kiểm tra Toán lớp 8 - Chân trời sáng tạo
Đề thi, đề kiểm tra Toán lớp 8 - Cánh diều
Lý thuyết Toán 8
Bài tập trắc nghiệm Toán 8 - Kết nối tri thức
Bài tập trắc nghiệm Toán 8 - Chân trời sáng tạo
Bài tập trắc nghiệm Toán 8 - Cánh diều
SGK Toán 7 - Kết nối tri thức
SGK Toán 7 - Chân trời sáng tạo
SGK Toán 7 - Cánh diều
Sách bài tập Toán 7 - Kết nối tri thức
Sách bài tập Toán 7 - Chân trời sáng tạo
Sách bài tập Toán 7 - Cánh diều
Bài tập trắc nghiệm Toán 7 - Kết nối tri thức
Bài tập trắc nghiệm Toán 7 - Chân trời sáng tạo
Bài tập trắc nghiệm Toán 7 - Cánh diều
Đề thi, đề kiểm tra Toán lớp 7 - Kết nối tri thức
Đề thi, đề kiểm tra Toán lớp 7 - Chân trời sáng tạo
Đề thi, đề kiểm tra Toán lớp 7 - Cánh diều
Vở thực hành Toán 7
Lý thuyết Toán 7
Tài liệu Dạy - học Toán 7
SGK Toán 6 - Kết nối tri thức
SGK Toán 6 - Chân trời sáng tạo
SGK Toán 6 - Cánh diều
Sách bài tập Toán 6 - Kết nối tri thức
Sách bài tập Toán lớp 6 - Chân trời sáng tạo
Sách bài tập Toán 6 - Cánh diều
Bài tập trắc nghiệm Toán 6 - Kết nối tri thức
Bài tập trắc nghiệm Toán 6 - Chân trời sáng tạo
Bài tập trắc nghiệm Toán 6 - Cánh diều
Đề thi, đề kiểm tra Toán lớp 6 - Kết nối tri thức
Đề thi, đề kiểm tra Toán lớp 6 - Chân trời sáng tạo
Đề thi, đề kiểm tra Toán lớp 6 - Cánh diều
Vở thực hành Toán 6
Tài liệu Dạy - học Toán 6
Ôn tập hè Toán lớp 6
SGK Toán 5 - Kết nối tri thức
SGK Toán 5 - Chân trời sáng tạo
SGK Toán 5 - Cánh diều
SGK Toán 5 - Bình Minh
Vở bài tập Toán lớp 5 - Kết nối tri thức
Vở bài tập Toán lớp 5 - Cánh diều
Đề thi, đề kiểm tra Toán lớp 5 - Kết nối tri thức
Đề thi, đề kiểm tra Toán lớp 5 - Cánh diều
Đề thi, đề kiểm tra Toán lớp 5 - Chân trời sáng tạo
Toán nâng cao lớp 5
Công thức Toán lớp 5
Bài tập phát triển năng lực Toán lớp 5
Đề thi vào lớp 6 môn Toán
Từ điển môn Toán lớp 5
SGK Toán 4 - Kết nối tri thức
SGK Toán 4 - Chân trời sáng tạo
SGK Toán 4 - Cánh diều
SGK Toán 4 - Bình Minh
Vở bài tập Toán lớp 4 - Kết nối tri thức
Vở thực hành Toán 4
Đề thi, đề kiểm tra Toán lớp 4 - Kết nối tri thức
Đề thi, đề kiểm tra Toán lớp 4 - Cánh diều
Đề thi, đề kiểm tra Toán lớp 4 - Chân trời sáng tạo
Bài tập phát triển năng lực Toán lớp 4
Toán nâng cao lớp 4
Ôn tập hè Toán lớp 4
Bài tập trắc nghiệm Toán 4 - Kết nối tri thức
Bài tập trắc nghiệm Toán 4 - Cánh diều
Bài tập trắc nghiệm Toán 4 - Chân trời sáng tạo
Từ điển môn Toán lớp 4
SGK Toán 3 - Kết nối tri thức
SGK Toán 3 - Chân trời sáng tạo
SGK Toán 3 - Cánh diều
Vở bài tập Toán lớp 3 - Kết nối tri thức
Đề thi, đề kiểm tra Toán lớp 3 - Kết nối tri thức
Đề thi, đề kiểm tra Toán lớp 3 - Chân trời sáng tạo
Đề thi, đề kiểm tra Toán lớp 3 - Cánh diều
Bài tập trắc nghiệm Toán 3 - Kết nối tri thức
Bài tập trắc nghiệm Toán 3 - Chân trời sáng tạo
Bài tập trắc nghiệm Toán 3 - Cánh diều
Ôn tập hè Toán lớp 3 - Kết nối tri thức
Ôn tập hè Toán lớp 3 - Cánh diều
Ôn tập hè Toán lớp 3 - Chân trời sáng tạo
SGK Toán lớp 2 - Kết nối tri thức
SGK Toán lớp 2 - Chân trời sáng tạo
SGK Toán lớp 2 - Cánh diều
Vở bài tập Toán 2 - Kết nối tri thức
Vở bài tập Toán 2 - Chân trời sáng tạo
Đề thi, đề kiểm tra Toán lớp 2 - Kết nối tri thức
Đề thi, đề kiểm tra Toán lớp 2 - Chân trời sáng tạo
Đề thi, đề kiểm tra Toán lớp 2 - Cánh diều
Cùng em học Toán 2
Bài tập cuối tuần Toán 2
Bài tập trắc nghiệm Toán 2 - Kết nối tri thức
Bài tập trắc nghiệm Toán 2 - Chân trời sáng tạo
Bài tập trắc nghiệm Toán 2 - Cánh diều
Tài liệu mới nhất
Cập nhật đề thi và tài liệu học tập mỗi ngày
Tài Liệu Ôn Thi
MonToan.com.vn - Nguồn tài liệu phong phú cho học sinh và giáo viên
Trong thời đại công nghệ số phát triển như vũ bão, việc tiếp cận kiến thức và tài liệu học tập trở nên dễ dàng hơn bao giờ hết. Với sự ra đời của vô số website chia sẻ tài liệu học tập online, học sinh và giáo viên có thêm nhiều lựa chọn để nâng cao hiệu quả học tập và giảng dạy. Trong số đó, MonToan.com.vn - một trang web chuyên chia sẻ đề thi môn Toán học, đã nhanh chóng khẳng định vị trí của mình trong cộng đồng học sinh, giáo viên và những người yêu thíchmôn Toán. Với kho tài liệu khổng lồ, đa dạng và chất lượng cao, MonToan.com.vn đang là một trong những địa chỉ tin cậy được nhiều người lựa chọn.
Giới thiệu Website Chia sẻ Đề thi Môn Toán học MonToan.com.vn
MonToan.com.vn là một website chuyên biệt về chia sẻ đề thi và tài liệu học tập môn Toán, được thiết kế nhằm đáp ứng nhu cầu học tập và giảng dạy ngày càng cao của học sinh, giáo viên và những người yêu thích môn học này. Trang web ra đời với sứ mệnh trở thành một nguồn tài nguyên đáng tin cậy, góp phần nâng cao chất lượng dạy và học môn Toán tại Việt Nam.
Sứ mệnh và tầm nhìn của MonToan.com.vn
MonToan.com.vn được xây dựng với sứ mệnh cung cấp một nền tảng học tập toàn diện và hiệu quả cho môn Toán. Trang web hướng đến việc trở thành cầu nối giữa người học và kiến thức, giúp học sinh tiếp cận với nguồn tài liệu chất lượng cao, đồng thời hỗ trợ giáo viên trong quá trình giảng dạy.
Với tầm nhìn dài hạn, MonToan.com.vn không chỉ dừng lại ở việc chia sẻ đề thi và tài liệu học tập. Trang web còn hướng đến việc xây dựng một cộng đồng học tập năng động, nơi mọi người có thể trao đổi kiến thức, chia sẻ kinh nghiệm và cùng nhau phát triển. Điều này góp phần tạo ra một môi trường học tập tích cực, khuyến khích tinh thần tự học và sáng tạo trong việc tiếp cận kiến thứcToán học.
Đối tượng người dùng của MonToan.com.vn
MonToan.com.vn hướng đến phục vụ đa dạng đối tượng người dùng, bao gồm:
- 1Học sinh:Từ cấp tiểu học đến trung học phổ thông, MonToan.com.vn cung cấp tài liệu phù hợp với từng độ tuổi và trình độ, giúp các em có thể tự học, ôn luyện và chuẩn bị cho các kỳ thi.
- 2Giáo viên:Trang web cung cấp nguồn tài liệu phong phú giúp giáo viên có thêm tư liệu để xây dựng bài giảng, thiết kế đề kiểm tra và nâng cao chất lượng giảng dạy.
- 3Phụ huynh:MonToan.com.vn là công cụ hữu ích giúp phụ huynh có thể hỗ trợ con em trong quá trình học tập môn Toán tại nhà.
- 4Sinh viên và người yêu thích Toán:Trang web cũng là nguồn tài liệu tham khảo quý giá cho những ai muốn nâng cao kiến thức Toán học hoặc chuẩn bị cho các kỳ thi đại học, cao học.
Tính năng nổi bật của MonToan.com.vn
MonToan.com.vn nổi bật với nhiều tính năng ưu việt, giúp người dùng có trải nghiệm học tập tốt nhất:
- Kho tài liệu đa dạng: Trang web cung cấp đầy đủ các loại tài liệu từ đề thi, bài tập đến giáo án và tài liệu tham khảo.
- Hệ thống phân loại khoa học: Tài liệu được phân loại rõ ràng theo cấp học, chủ đề, độ khó.
- Công cụ tìm kiếm thông minh: MonToan.com.vn tích hợp công cụ tìm kiếm hiệu quả.
- Cập nhật liên tục: Trang web thường xuyên cập nhật tài liệu mới.
- Tương tác cộng đồng: Tạo điều kiện trao đổi kiến thức qua diễn đàn và bình luận.
MonToan.com.vn - Nguồn tài liệu phong phú
MonToan.com.vn là một kho tàng kiến thức Toán học với nguồn tài liệu phong phú và đa dạng, được thiết kế để đáp ứng nhu cầu học tập và giảng dạy của cả học sinh và giáo viên. Trang web này không chỉ cung cấp đề thi và bài tập, mà còn là một hệ sinh thái học tập toàn diện, hỗ trợ người dùng trong mọi khía cạnh của việc học và dạy môn Toán.
Đa dạng loại tài liệu
MonToan.com.vn cung cấp một loạt các loại tài liệu khác nhau, đáp ứng đầy đủ nhu cầu của người học và người dạy. Điều này bao gồm:
Đề thi các cấp học là một trong những tài liệu quan trọng nhất trên MonToan.com.vn. Trang web cung cấp đầy đủ các đề thi từ cấp tiểu học đến trung học phổ thông. Điều này bao gồm các kỳ thi chính thức như thi học kỳ, thi tuyển sinh, thi THPT quốc gia, cũng như các đề thi minh họa và đề thi thử. Sự đa dạng này giúp học sinh có cơ hội tiếp xúc với nhiều dạng đề khác nhau, từ đó nâng cao khả năng ứng phó với các tình huống thi cử.
Bên cạnh đó, MonToan.com.vn còn cung cấp một lượng lớn bài tập kèm theo lời giải chi tiết. Các bài tập này được phân loại từ cơ bản đến nâng cao, giúp học sinh có thể rèn luyện kỹ năng giải toán ở mọi trình độ. Lời giải chi tiết không chỉ cung cấp đáp án, mà còn giải thích cặn kẽ quá trình giải, giúp học sinh hiểu rõ bài toán và phương pháp giải quyết.
Tài liệu cho giáo viên
Đối với giáo viên, MonToan.com.vn là một kho tàng quý giá với nhiều tài liệu hỗ trợ giảng dạy. Trang web cung cấp các giáo án được biên soạn bởi những giáo viên giàu kinh nghiệm. Những giáo án này không chỉ phù hợp với từng đối tượng học sinh, mà còn được thiết kế để tạo sự tương tác và hứng thú trong học tập.
Ngoài ra, MonToan.com.vn còn cung cấp nhiều tài liệu tham khảo hữu ích như sách giáo khoa, sách bài tập, và tài liệu chuyên đề. Những tài liệu này giúp giáo viên có thêm kiến thức, kỹ năng và kinh nghiệm trong lĩnh vực Toán học, từ đó nâng cao chất lượng giảng dạy.
Tính cập nhật và chất lượng của tài liệu
Một trong những ưu điểm nổi bật của MonToan.com.vn là tính cập nhật liên tục của tài liệu. Trang web thường xuyên bổ sung những tài liệu mới nhất, phù hợp với chương trình giảng dạy hiện hành và xu hướng giáo dục mới. Điều này đảm bảo rằng người dùng luôn có thể tiếp cận những kiến thức và phương pháp học tập, giảng dạy tiên tiến nhất.
Về chất lượng, tất cả các tài liệu trên MonToan.com.vn đều được kiểm duyệt kỹ lưỡng trước khi đăng tải. Trang web có đội ngũ chuyên gia và giáo viên giàu kinh nghiệm tham gia vào quá trình biên soạn và kiểm tra tài liệu, đảm bảo tính chính xác và phù hợp với chương trình học.
Với sự đa dạng, phong phú và chất lượng cao của tài liệu, MonToan.com.vn đã thu hút sự quan tâm của đông đảo người dùng, khẳng định vị thế của mình là một nguồn tài liệu đáng tin cậy, phục vụ hiệu quả nhu cầu học tập và giảng dạy môn Toán.
Học Toán Hiệu quả với Bộ Đề Thi Trên MonToan.com.vn
Học Toán hiệu quả không chỉ cần kiến thức lý thuyết vững vàng mà còn cần được rèn luyện kỹ năng giải bài tập thông qua việc làm các bài kiểm tra và đề thi. MonToan.com.vn cung cấp một bộ đề thi đa dạng, được phân loại rõ ràng theo từng cấp học, từng chủ đề, giúp học sinh và giáo viên lựa chọn phù hợp với mục tiêu học tập và giảng dạy. Việc sử dụng bộ đề thi này không chỉ giúp học sinh ôn luyện kiến thức, rèn luyện kỹ năng giải bài tập mà còn giúp các em tự đánh giá năng lực học tập, xác định điểm mạnh, điểm yếu, từ đó điều chỉnh phương pháp học tập cho phù hợp.
Bộ đề thi đa dạng theo cấp học
MonToan.com.vn cung cấp một bộ đề thi toàn diện, bao quát tất cả các cấp học từ tiểu học đến trung học phổ thông. Điều này đảm bảo rằng mọi học sinh, bất kể ở độ tuổi nào, đều có thể tìm thấy tài liệu phù hợp với trình độ của mình.
Đối với cấp tiểu học, các đề thi tập trung vào việc rèn luyện kỹ năng tính toán cơ bản và tư duy logic đơn giản. Các bài toán thường được thiết kế dưới dạng trò chơi hoặc tình huống thực tế, giúp các em nhỏ hứng thú với môn Toán ngay từ những năm đầu tiên.
Ở cấp trung học cơ sở, độ khó của đề thi tăng dần, đòi hỏi học sinh phải vận dụng kiến thức tổng hợp và kỹ năng giải quyết vấn đề. Các đề thi ở cấp này thường bao gồm cả bài tập trắc nghiệm và tự luận, giúp học sinh rèn luyện cả hai kỹ năng này.
Đối với cấp trung học phổ thông, MonToan.com.vn cung cấp các đề thi có độ khó cao, tương đương với đề thi THPT Quốc gia. Các đề thi này không chỉ kiểm tra kiến thức mà còn đòi hỏi học sinh phải có tư duy sáng tạo và khả năng vận dụng kiến thức vào thực tiễn.
Phân loại đề thi theo chủ đề
Ngoài việc phân loại theo cấp học, MonToan.com.vn còn chia đề thi thành nhiều chủ đề khác nhau như đại số, hình học, xác suất thống kê, và nhiều lĩnh vực khác của Toán học. Điều này giúp học sinh dễ dàng tìm kiếm những đề thi phù hợp với nội dung đã học, từ đó nâng cao khả năng tiếp cận và thực hành.
Mỗi chủ đề đều có những đặc điểm riêng biệt và yêu cầu kỹ năng giải quyết vấn đề khác nhau. Khi làm việc với các đề thi được phân loại theo chủ đề, học sinh sẽ có cơ hội nắm vững kiến thức chuyên sâu hơn về từng lĩnh vực, thay vì chỉ dừng lại ở việc làm bài tập tổng quát. Chẳng hạn, khi học về hình học, việc giải các bài toán liên quan đến diện tích, chu vi hoặc thể tích sẽ giúp học sinh phát triển tư duy không gian và khả năng lập luận.
Hơn nữa, việc phân loại đề thi theo chủ đề cũng tạo điều kiện cho giáo viên trong việc xây dựng kế hoạch giảng dạy hiệu quả hơn. Họ có thể lựa chọn và kết hợp các đề thi phù hợp với nội dung bài học, từ đó giúp học sinh hiểu rõ hơn về mối liên hệ giữa lý thuyết và thực tiễn.
Tự đánh giá và rèn luyện kỹ năng
Một trong những ưu điểm nổi bật của bộ đề thi trên MonToan.com.vn là khả năng tự đánh giá năng lực học tập của học sinh. Sau khi hoàn thành một bộ đề thi nào đó, học sinh có thể so sánh kết quả của mình với đáp án đã cung cấp, từ đó nhận diện những điểm mạnh và điểm yếu trong quá trình học tập.
Quá trình tự đánh giá rất quan trọng, bởi nó không chỉ giúp học sinh nhận thức được mức độ hiểu biết của bản thân mà còn thúc đẩy tinh thần học hỏi. Thậm chí, nhiều học sinh đã chia sẻ rằng nhờ vào việc tự đánh giá này mà họ đã tìm ra phương pháp học tập hiệu quả hơn, đồng thời cải thiện đáng kể kết quả học tập của mình qua từng kỳ thi.
Việc rèn luyện thông qua các bộ đề thi không chỉ giúp học sinh làm quen với cấu trúc đề thi mà còn nâng cao khả năng xử lý áp lực trong môi trường thi cử. Rất nhiều học sinh cảm thấy hồi hộp khi ngồi trong phòng thi, nhưng nếu họ đã thường xuyên luyện tập với các đề thi, khả năng bình tĩnh và tự tin của họ sẽ được cải thiện đáng kể.
Lời giải chi tiết - chìa khóa cho sự hiểu biết sâu sắc
Điều đặc biệt của bộ đề thi tại MonToan.com.vn là mỗi đề thi đều đi kèm với lời giải chi tiết. Không chỉ đơn thuần là đáp án, lời giải còn cung cấp quy trình và phương pháp giải quyết từng bài toán. Việc này giúp học sinh không chỉ ghi nhớ cách làm mà còn hiểu rõ nguyên lý và kiến thức nền tảng liên quan đến bài toán.
Lời giải chi tiết cũng khuyến khích học sinh tư duy phản biện. Họ có thể so sánh cách giải của mình với cách giải được cung cấp để tìm ra những cách tiếp cận khác nhau. Điều này không chỉ mở rộng khả năng sáng tạo trong việc giải toán mà còn giúp hình thành thói quen tự nghiên cứu, tự học hỏi – những kỹ năng vô cùng cần thiết trong cuộc sống sau này.
Ngoài ra, đối với những giáo viên, lời giải chi tiết cũng là một nguồn tài liệu quý báu để hướng dẫn học sinh. Giáo viên có thể sử dụng chúng trong lớp học để giải thích cho học sinh những bước đi cần thiết trong quá trình giải quyết bài toán, từ đó mang lại sự hứng thú và động lực cho học sinh trong việc học Toán.
Kết luận
MonToan.com.vn không chỉ là một website chia sẻ đề thi đơn thuần mà còn là một nền tảng học tập toàn diện giúp học sinh và giáo viên có thể khai thác tối đa tiềm năng của môn Toán. Với sự đa dạng trong nội dung tài liệu, khả năng tự đánh giá, và chất lượng lời giải chi tiết, MonToan.com.vn đã chứng minh được giá trị của mình trong việc hỗ trợ quá trình học tập và giảng dạy. Bất kỳ ai đang tìm kiếm nguồn tài liệu Toán học phong phú và hữu ích đều có thể tìm thấy ở đây những gì mình cần để trở thành một người học sinh xuất sắc, chuẩn bị tốt nhất cho các kỳ thi và tương lai học tập.




































































