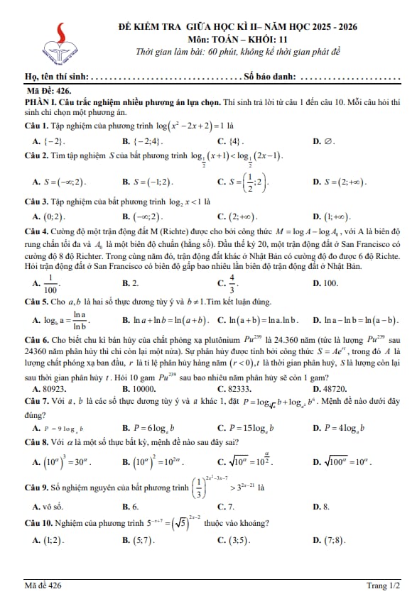
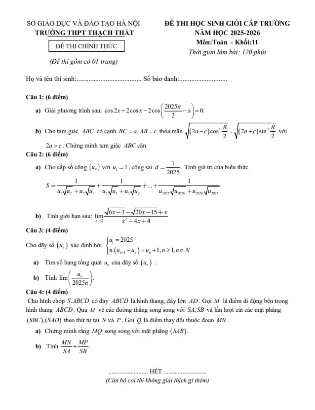
1. Môn Toán
  2. SGK Toán 11 - Cánh diều

SGK Toán 11 - Cánh diều

Bạn đang khám phá nội dung SGK Toán 11 - Cánh diều trong chuyên mục Bài tập Toán lớp 11 trên nền tảng đề thi toán. Được biên soạn chuyên sâu và bám sát chặt chẽ chương trình sách giáo khoa hiện hành, bộ bài tập lý thuyết toán thpt này cam kết tối ưu hóa toàn diện quá trình ôn luyện, củng cố kiến thức Toán lớp 11 cho học sinh THPT, thông qua phương pháp tiếp cận trực quan và mang lại hiệu quả học tập vượt trội, tạo nền tảng vững chắc cho các kỳ thi quan trọng và chương trình đại học.

SGK Toán 11 Cánh Diều - Nền tảng vững chắc cho tương lai

Chào mừng bạn đến với chuyên mục SGK Toán 11 Cánh Diều của montoan.com.vn! Chúng tôi cung cấp đầy đủ nội dung sách giáo khoa Toán 11 Cánh Diều, từ lý thuyết đến bài tập, giúp bạn học tập hiệu quả và đạt kết quả cao.

Với đội ngũ giáo viên giàu kinh nghiệm, chúng tôi cam kết mang đến cho bạn những tài liệu học tập chất lượng, dễ hiểu và phù hợp với chương trình học hiện hành.

Toán 11 tập 1 - Cánh Diều

Chương 1 Hàm số lượng giác và phương trình lượng giác

Chương 4 Đường thẳng và mặt phẳng trong không gian. Quan hệ song song

Giải Toán 11 tập 2 - Cánh Diều

Chương VIII. Quan hệ vuông góc trong không gian. Phép chiếu song song

SGK Toán 11 Cánh Diều: Giải Pháp Học Tập Toàn Diện tại Montoan.com.vn

SGK Toán 11 Cánh Diều là một trong những bộ sách giáo khoa được sử dụng rộng rãi trong các trường THPT hiện nay. Bộ sách này được biên soạn theo chương trình giáo dục phổ thông mới, với nội dung được trình bày một cách khoa học, logic và dễ hiểu. Montoan.com.vn tự hào là đối tác đồng hành cùng học sinh trong quá trình chinh phục môn Toán 11 với bộ SGK này.

Nội Dung Chính của SGK Toán 11 Cánh Diều

SGK Toán 11 Cánh Diều bao gồm các chủ đề chính sau:

  • Đại số: Hàm số bậc nhất và bậc hai, hàm số mũ và hàm số logarit, phương trình và bất phương trình, dãy số, cấp số cộng và cấp số nhân.
  • Hình học: Vectơ trong mặt phẳng, tích vô hướng của hai vectơ, ứng dụng của tích vô hướng, đường thẳng và mặt phẳng trong không gian, đường thẳng vuông góc với mặt phẳng.

Tại Sao Nên Học Toán 11 Cánh Diều Online tại Montoan.com.vn?

Montoan.com.vn cung cấp một môi trường học tập trực tuyến hiện đại và tiện lợi, với nhiều ưu điểm vượt trội:

  • Đầy đủ tài liệu: Chúng tôi cung cấp đầy đủ nội dung SGK Toán 11 Cánh Diều, bao gồm lý thuyết, bài tập, và đáp án.
  • Giải bài tập chi tiết: Đội ngũ giáo viên của chúng tôi sẽ giải thích chi tiết từng bước giải bài tập, giúp bạn hiểu rõ bản chất của vấn đề.
  • Luyện tập đa dạng: Chúng tôi cung cấp nhiều bài tập luyện tập với các mức độ khó khác nhau, giúp bạn rèn luyện kỹ năng và củng cố kiến thức.
  • Học mọi lúc, mọi nơi: Bạn có thể truy cập Montoan.com.vn trên mọi thiết bị, từ máy tính, điện thoại, đến máy tính bảng, để học tập mọi lúc, mọi nơi.
  • Hỗ trợ tận tình: Đội ngũ hỗ trợ của chúng tôi luôn sẵn sàng giải đáp mọi thắc mắc của bạn.

Các Tài Nguyên Hỗ Trợ Học Tập Toán 11 Cánh Diều

Ngoài SGK, Montoan.com.vn còn cung cấp nhiều tài nguyên hỗ trợ học tập khác, bao gồm:

  • Video bài giảng: Các video bài giảng được trình bày một cách sinh động và dễ hiểu, giúp bạn nắm bắt kiến thức một cách nhanh chóng.
  • Bài kiểm tra: Các bài kiểm tra giúp bạn đánh giá mức độ hiểu biết của mình về từng chủ đề.
  • Diễn đàn trao đổi: Diễn đàn trao đổi là nơi bạn có thể đặt câu hỏi, chia sẻ kinh nghiệm học tập, và kết nối với những học sinh khác.

Bảng So Sánh Các Chương Trong SGK Toán 11 Cánh Diều

ChươngNội Dung ChínhSố Bài
1Hàm số bậc nhất và bậc hai5
2Hàm số mũ và hàm số logarit4
3Phương trình và bất phương trình6
Nguồn: Montoan.com.vn

Lời Khuyên Khi Học Toán 11 Cánh Diều

  1. Nắm vững lý thuyết: Hiểu rõ các định nghĩa, định lý, và công thức là nền tảng để giải bài tập.
  2. Luyện tập thường xuyên: Giải nhiều bài tập với các mức độ khó khác nhau để rèn luyện kỹ năng.
  3. Tìm kiếm sự giúp đỡ: Đừng ngần ngại hỏi giáo viên hoặc bạn bè nếu bạn gặp khó khăn.
  4. Sử dụng tài nguyên trực tuyến: Montoan.com.vn là một nguồn tài nguyên học tập hữu ích mà bạn có thể tận dụng.

Montoan.com.vn hy vọng rằng với những tài liệu và hỗ trợ mà chúng tôi cung cấp, bạn sẽ học tập môn Toán 11 Cánh Diều một cách hiệu quả và đạt được kết quả tốt nhất. Chúc bạn thành công!

Tài liệu, đề thi và đáp án Toán 11

Tài liệu, đề thi và đáp án Toán 11