z Mục lục tài liệu
Nội dung chi tiết

MonToan.com.vn giới thiệu đến quý thầy, cô giáo và các em học sinh đề thi thử tốt nghiệp THPT năm 2026 môn Toán trường THPT chuyên Lương Văn Chánh, tỉnh Đắk Lắk. Kỳ thi được diễn ra vào ngày 19 tháng 04 năm 2026. Đề thi có đáp án mã đề 0101 0102 0103 0104.
Trích dẫn Đề thi thử TN THPT 2026 môn Toán trường chuyên Lương Văn Chánh – Đắk Lắk:
+ Vào ngày 10 tháng 1 năm 2025, anh An gửi vào ngân hàng 1 tỷ đồng với lãi suất 0,6%/tháng. Kể từ tháng 2 năm 2025, cứ vào ngày 10 mỗi tháng anh An đến ngân hàng rút ra 25 triệu đồng để chi tiêu. Hỏi sau bao nhiêu tháng anh An rút hết tiền trong ngân hàng (ở tháng cuối cùng, số tiền rút ra có thể ít hơn 25 triệu đồng).
+ Cho một hình bát giác đều có 8 đỉnh. Người ta gắn ngẫu nhiên vào 8 đỉnh này 8 số tự nhiên 1, 4, 7, 9, 11, 13, 16, 19 (mỗi số gắn đúng một đỉnh). Chọn ngẫu nhiên một tam giác có 3 đỉnh lấy từ 8 đỉnh của bát giác đã cho. Gọi P là xác suất để chọn được một tam giác vuông với 3 số gắn trên 3 đỉnh của tam giác đó (theo một thứ tự nào đó) lập thành một cấp số cộng. Biết P = a/b (a, b ∈ N và a/b là phân số tối giản). Tính a + b.
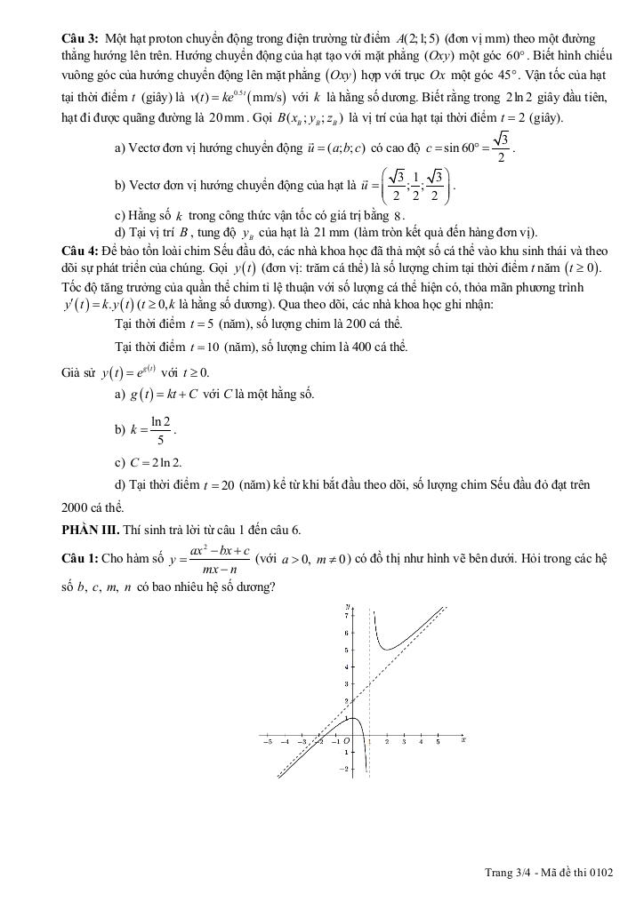
+ Từ tập A = {1; 2; 3; …; 49; 50} gồm 50 số tự nhiên liên tiếp, cần chọn ra 21 số phân biệt để gắn vào 21 ô vuông đơn vị như hình vẽ. Gọi T là số cách chọn số sao cho mọi số ở hàng trên luôn nhỏ hơn mọi số ở hàng dưới, mọi số bên trái luôn nhỏ hơn mọi số bên phải cùng hàng, đồng thời các số thuộc các ô A, B, C, D, E, F theo thứ tự lập thành cấp số cộng. Giá trị log(T) bằng bao nhiêu? (kết quả làm tròn đến hàng phần chục).
Download Center
Chọn tài liệu bạn muốn tải về
















