z Mục lục tài liệu
Nội dung chi tiết

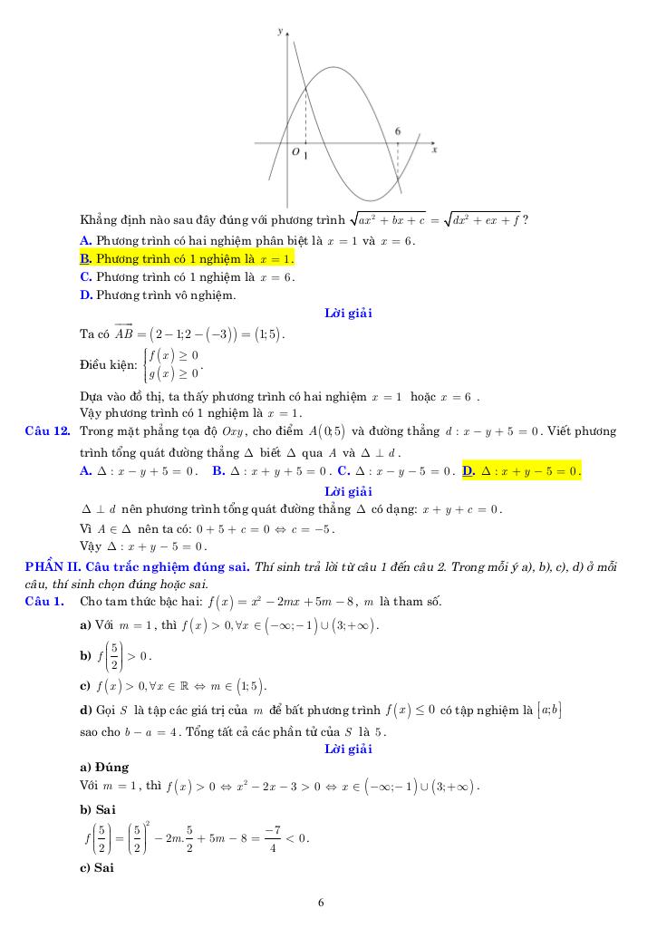
1 / 10
Quý thầy cô và học sinh đang tham khảo 05 đề ôn tập giữa học kỳ 2 môn toán 10 năm 2025 – 2026 có đáp án và lời giải, bộ đề thi được xây dựng bám sát chuẩn học toán cập nhật nhất. Cấu trúc đề bảo đảm độ phủ kiến thức đồng đều, mức độ câu hỏi được cân chỉnh từ nhận biết đến vận dụng cao, phù hợp kiểm tra toàn diện năng lực. Hãy khai thác triệt để tài liệu này để đánh giá chính xác trình độ hiện tại và tối ưu chiến lược luyện thi của bạn.
Tài liệu gồm 49 trang, được biên soạn bởi Trung Tâm Bồi Dưỡng Văn Hóa Lam Sơn, tuyển tập 05 đề ôn tập giữa học kỳ 2 môn Toán 10 năm học 2025 – 2026 có đáp án và lời giải chi tiết.
Đề thi có cấu trúc gồm 04 phần: Câu trắc nghiệm nhiều phương án lựa chọn; Câu trắc nghiệm đúng sai; Câu trắc nghiệm trả lời ngắn; Tự luận.
Bạn đang khám phá nội dung 05 đề ôn tập giữa học kỳ 2 môn toán 10 năm 2025 – 2026 có đáp án và lời giải trong chuyên mục sgk toán 10 trên nền tảng học toán. Được biên soạn chuyên sâu và bám sát chặt chẽ chương trình sách giáo khoa hiện hành, bộ bài tập toán thpt này cam kết tối ưu hóa toàn diện quá trình ôn luyện, củng cố kiến thức Toán lớp 10 cho học sinh THPT, thông qua phương pháp tiếp cận trực quan và mang lại hiệu quả học tập vượt trội, tạo nền tảng vững chắc cho các cấp học cao hơn.
Download Center
Chọn tài liệu bạn muốn tải về
















