z Mục lục tài liệu
Nội dung chi tiết

Tài liệu gồm 145 trang, bao gồm kiến thức cần nắm, các dạng toán và bài tập chuyên đề căn bậc hai và căn bậc ba môn Toán 9 bộ sách Kết Nối Tri Thức Với Cuộc Sống (KNTTVCS).
BÀI 7. CĂN BẬC HAI VÀ CĂN THỨC BẬC HAI.
A. KIẾN THỨC CƠ BẢN CẦN NẮM.
1 Căn bậc hai.
2. Căn thức bậc hai.
B. GIẢI BÀI TẬP SÁCH GIÁO KHOA.
C. CÁC DẠNG TOÁN.
Dạng 1. So sánh hai số.
Dạng 2. Tìm x thỏa điều kiện cho trước.
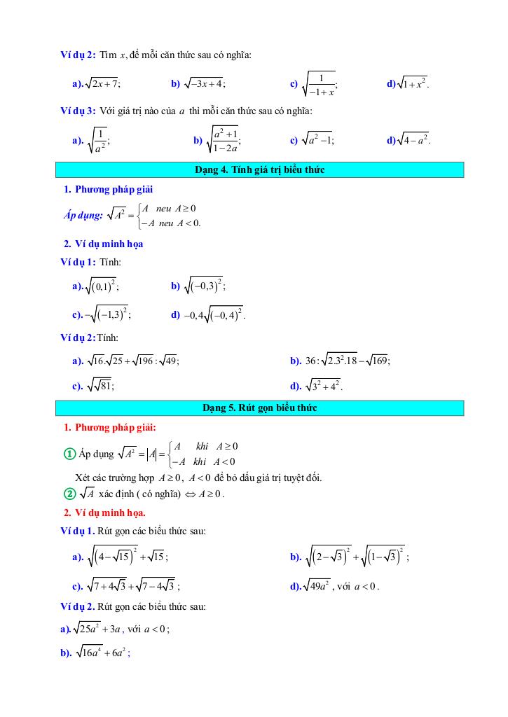
Dạng 3. Tìm điều kiện để A có nghĩa.
Dạng 4. Tính giá trị biểu thức.
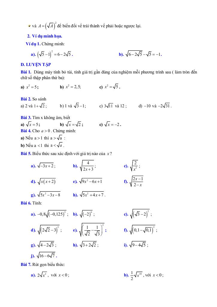
Dạng 5. Rút gọn biểu thức.
Dạng 6. Giải phương trình.
Dạng 7. Phân tích đa thức thành nhân tử.
Dạng 8. Chứng minh đẳng thức.
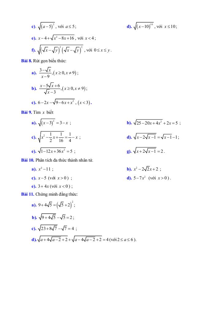
D. LUYỆN TẬP.
BÀI 8. KHAI CĂN BẬC HAI VỚI PHÉP NHÂN VÀ PHÉP CHIA.
A. KIẾN THỨC CƠ BẢN CẦN NẮM.
1 Khai căn bậc hai và phép nhân.
2. Khai căn bậc hai và phép chia.
B. GIẢI BÀI TẬP SÁCH GIÁO KHOA.
C. CÁC DẠNG TOÁN.
Dạng 1. Thực hiện phép tính.
Dạng 2. Rút gọn biểu thức và tính giá trị biểu thức.
Dạng 3. Chứng minh đẳng thức, bất đẳng thức.
Dạng 4. Tìm x thỏa đẳng thức cho trước.
D. LUYỆN TẬP.
BÀI 9. BIẾN ĐỔI ĐƠN GIẢN VÀ RÚT GỌN BIỂU THỨC CHỨA CĂN THỨC BẬC HAI.
A. KIẾN THỨC CƠ BẢN CẦN NẮM.
1. Đưa thừa số ra ngoài dấu căn.
2. Đưa thừa số vào trong dấu căn.
3. Trục căn thức ở mẫu.
4. Rút gọn biểu thức chứa căn thức bậc hai.
B. GIẢI BÀI TẬP SÁCH GIÁO KHOA.
C. CÁC DẠNG TOÁN.
Dạng 1. Đưa thừa số ra ngoài dấu căn và đưa thừa số vào trong dấu căn.
Dạng 2. Khử mẫu của biểu thức lấy căn.
Dạng 3. Trục căn ở mẫu.
Dạng 4. Rút gọn biểu thức.
Dạng 5. Chứng minh đẳng thức.
Dạng 6. Phân tích thành nhân tử.
Dạng 7. Giải phương trình.
D. LUYỆN TẬP.
BÀI 10. CĂN BẬC BA VÀ CĂN THỨC BẬC BA.
A. KIẾN THỨC CƠ BẢN CẦN NẮM.
1. Căn bậc ba.
2. Căn thức bậc ba.
B. GIẢI BÀI TẬP SÁCH GIÁO KHOA.
C. CÁC DẠNG TOÁN.
Dạng 1. Thực hiện phép tính và rút gọn biểu thức.
Dạng 2. Giải phương trình.
D. LUYỆN TẬP.
BÀI TẬP CUỐI CHƯƠNG III.
Download Center
Chọn tài liệu bạn muốn tải về
















