z Mục lục tài liệu
Nội dung chi tiết

Tài liệu gồm 143 trang, bao gồm lý thuyết và các dạng bài tập cơ bản chuyên đề môn Toán 8 Kết Nối Tri Thức Với Cuộc Sống (tập 1).
Chương I. ĐA THỨC.
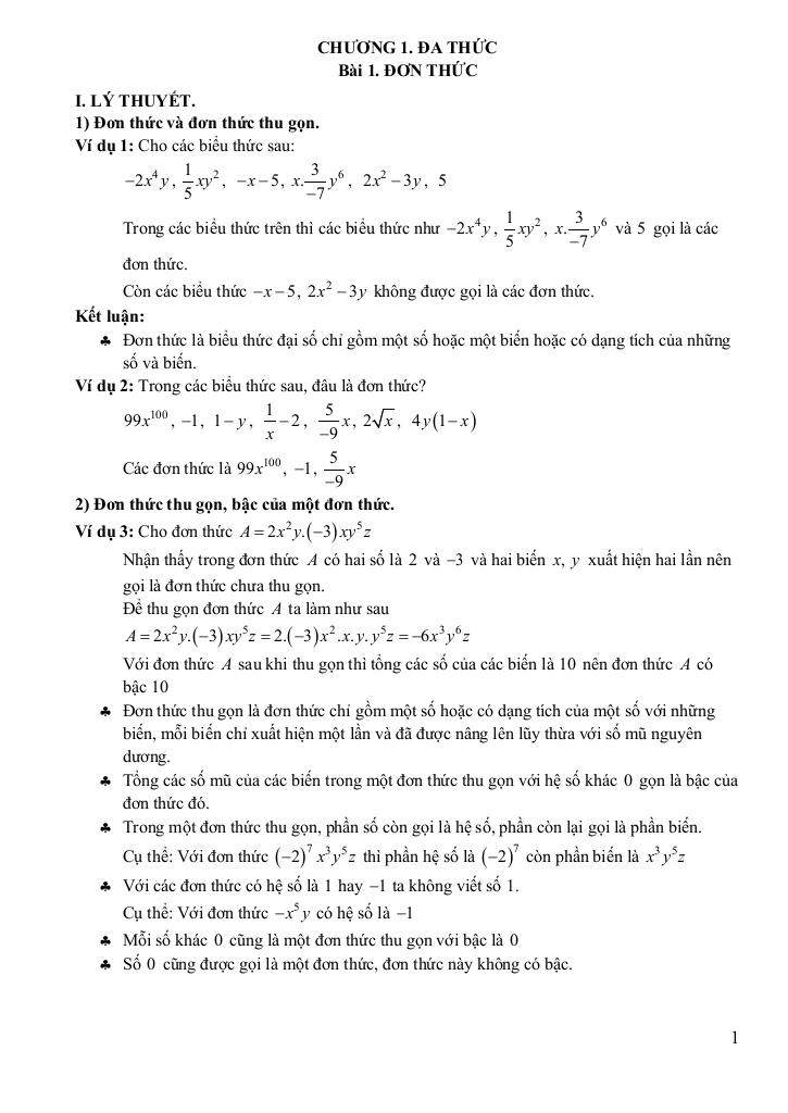
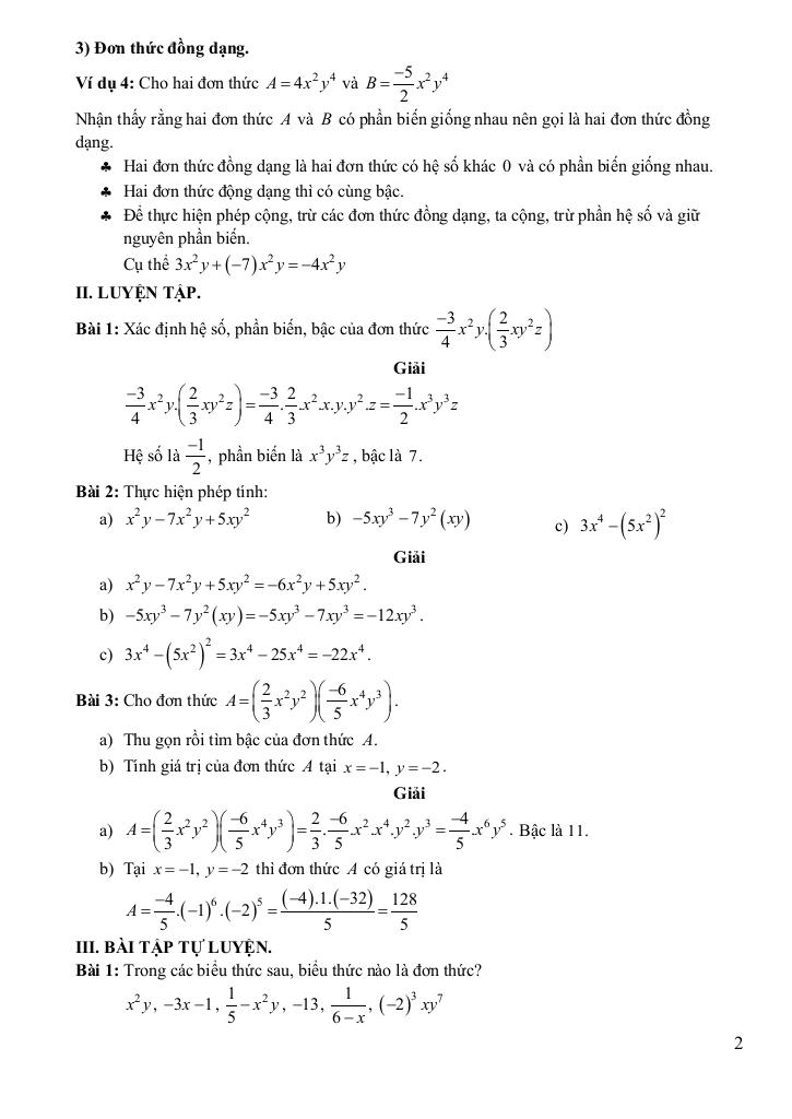
Bài 1. Đơn thức.
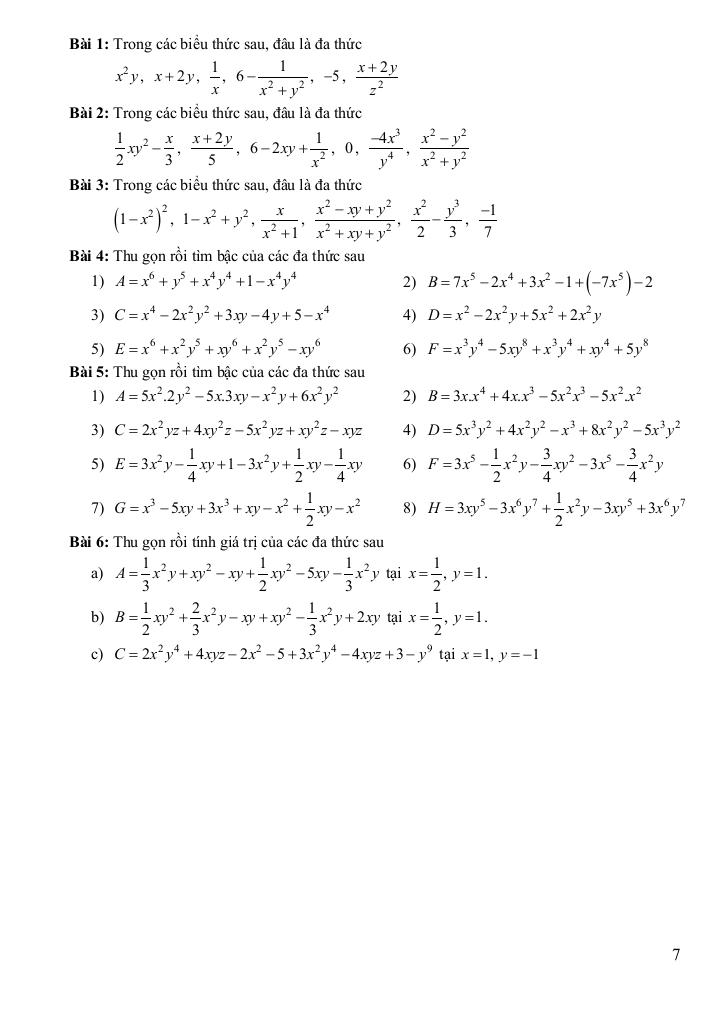
Bài 2. Đa thức.
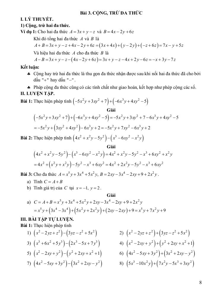
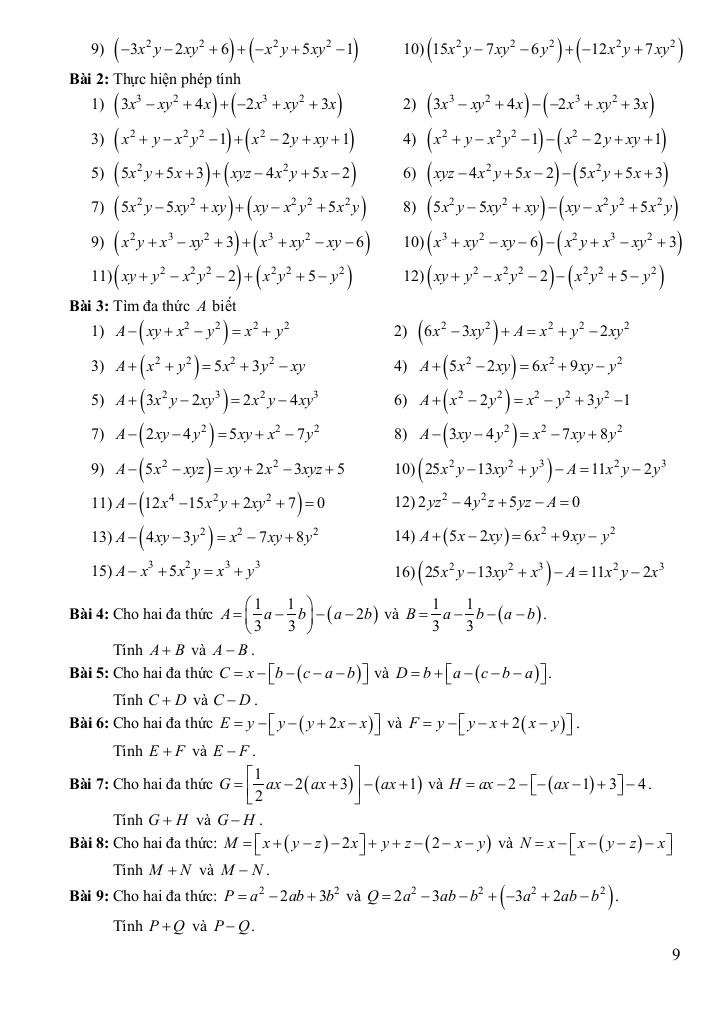
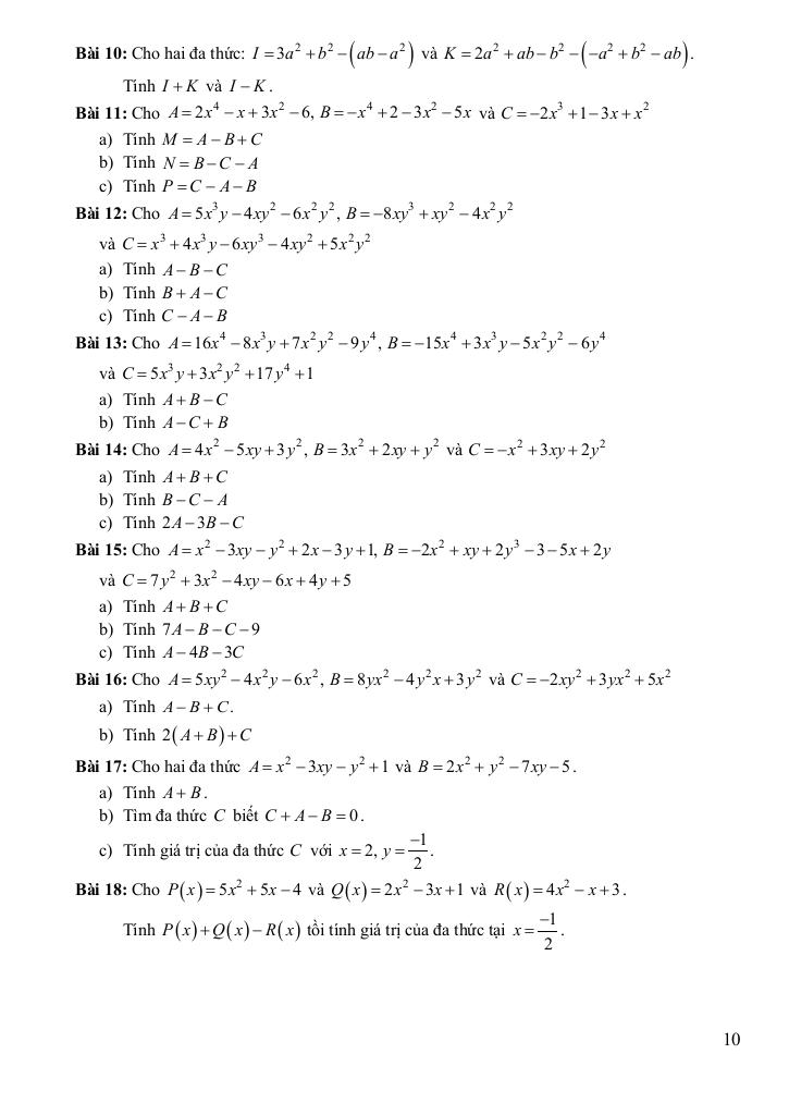
Bài 3. Phép cộng và phép trừ đa thức.
Bài 4. Phép nhân đa thức.
Bài 5. Phép chia đa thức cho đơn thức.
Chương II. HẰNG ĐẲNG THỨC ĐÁNG NHỚ VÀ ỨNG DỤNG.
Bài 6. Hiệu hai bình phương. Bình phương của một tổng hay một hiệu.
Bài 7. Lập phương của một tổng hay một hiệu.
Bài 8. Tổng và hiệu hai lập phương.
Bài 9. Phân tích đa thức thành nhân tử.
Chương III. TỨ GIÁC.
Bài 10. Tứ giác.
Bài 11. Hình thang cân.
Bài 12. Hình bình hành.
Bài 13. Hình chữ nhật.
Bài 14. Hình thoi và hình vuông.
CHƯƠNG IV. ĐỊNH LÍ THALES.
Bài 15. Định lí Thalès trong tam giác.
Bài 16. Đường trung bình của tam giác.
Bài 17. Tính chất đường phân giác của tam giác.
Chương V. DỮ LIỆU VÀ BIỂU ĐỒ.
Bài 18. Thu thập và phân loại dữ liệu.
Bài 19. Biểu diễn dữ liệu bằng bảng, biểu đồ.
Bài 20. Phân tích số liệu thống kê dựa vào biểu đó.
File WORD (dành cho quý thầy, cô): TẢI XUỐNG
Download Center
Chọn tài liệu bạn muốn tải về
















