z Mục lục tài liệu
Nội dung chi tiết

Tài liệu gồm 93 trang, được biên soạn và sưu tầm bởi thầy giáo Ngô Đức Tài, bao gồm lý thuyết cần ghi nhớ, các dạng toán và bài tập rèn luyện chuyên đề Toán 10 chương hệ thức lượng trong tam giác và ứng dụng, có đáp án và lời giải chi tiết.

CHỦ ĐỀ 1. GIÁ TRỊ LƯỢNG GIÁC CỦA MỘT GÓC TỪ 0 ĐỘ ĐẾN 180 ĐỘ.
I. LÝ THUYẾT CẦN GHI NHỚ.
1. Giá trị lượng giác.
2. Quan hệ giữa các giá trị lượng giác của hai góc bù nhau.
3. Giá trị lượng giác của một số góc đặc biệt.
II. MỘT SỐ DẠNG BÀI TẬP.
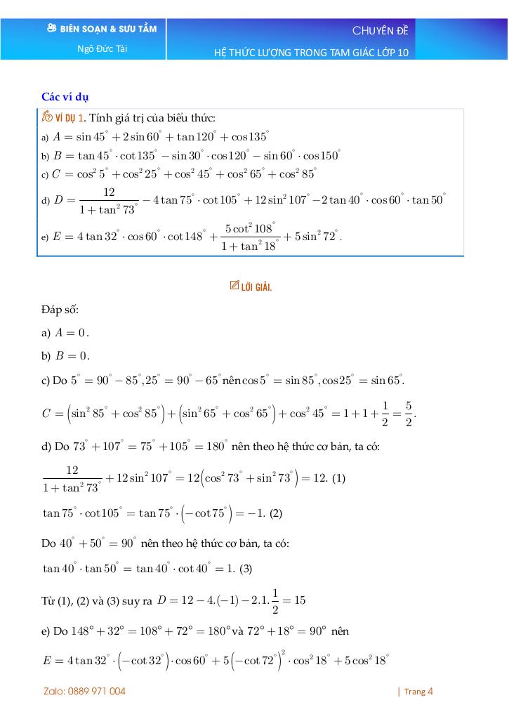
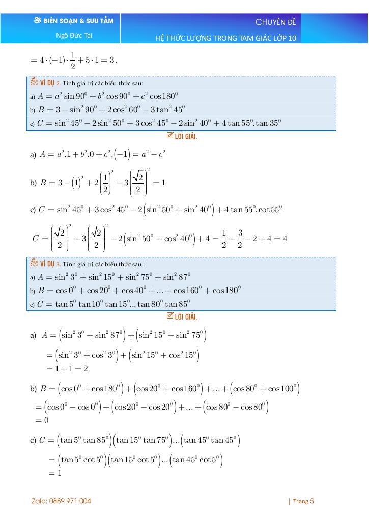
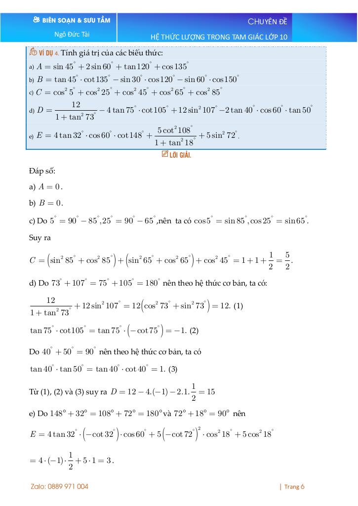
+ Dạng 1. Xác định giá trị lượng giác của góc đặc biệt.
+ Dạng 2. Chứng minh đẳng thức.
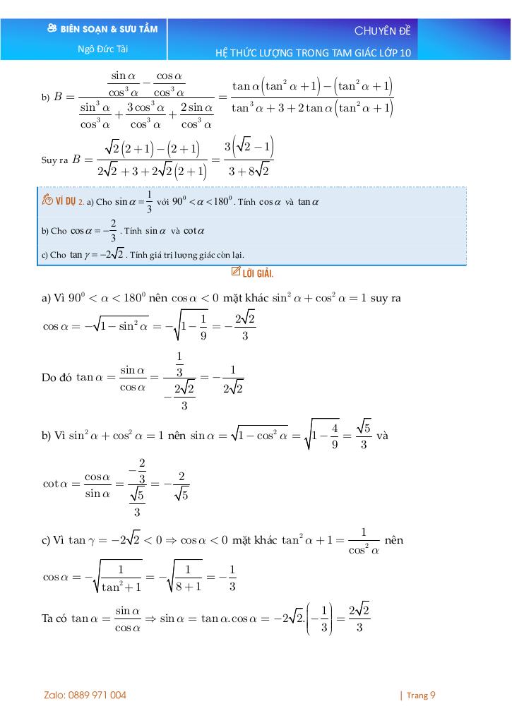
+ Dạng 3. Tính giá trị của một biểu thức lượng giác có điều kiện.
+ Dạng 4. Toán thực tế.
III. LUYỆN TẬP.
1. Câu hỏi – trả lời trắc nghiệm.
2. Câu hỏi – trả lời đúng sai.
3. Câu hỏi – trả lời ngắn.
CHỦ ĐỀ 2. HỆ THỨC LƯỢNG TRONG TAM GIÁC.
I. LÝ THUYẾT CẦN GHI NHỚ.
1. Định lý côsin trong tam giác.
2. Định lý sin trong tam giác.
3. Giải tam giác.
4. Công thức tính diện tích tam giác.
II. MỘT SỐ DẠNG BÀI TẬP.
+ Dạng 1. Xác định các yếu tố trong tam giác.
+ Dạng 2. Giải tam giác.
+ Dạng 3. Chứng minh đẳng thức, bất đẳng thức liên quan đến các yếu tố của tam giác, tứ giác.
+ Dạng 4. Nhận dạng tam giác.
+ Dạng 5. Toán thực tế.
III. LUYỆN TẬP.
1. Câu hỏi – trả lời trắc nghiệm.
2. Câu hỏi – trả lời đúng sai.
3. Câu hỏi – trả lời ngắn.
Download Center
Chọn tài liệu bạn muốn tải về
















