z Mục lục tài liệu
Nội dung chi tiết

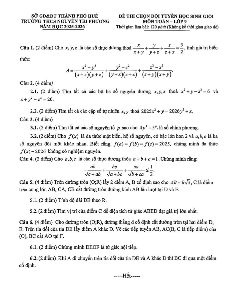
MonToan.com.vn giới thiệu đến quý thầy, cô giáo và các em học sinh đề thi chọn đội tuyển học sinh giỏi môn Toán 9 năm học 2025 – 2026 trường THCS Nguyễn Tri Phương, thành phố Huế.
Trích dẫn Đề chọn đội tuyển HSG Toán 9 năm 2025 – 2026 trường THCS Nguyễn Tri Phương – Huế:
+ Cho f(x) là đa thức một biến, hệ số nguyên, có bậc lớn hơn 2 và a, b, c là ba số nguyên đôi một khác nhau. Biết rằng f(a) = f(b) = f(c) = 2025, chứng minh đa thức f(x) – 2026 không có nghiệm nguyên.
+ Trên đường tròn (O;R) lấy 2 điểm A, B cố định sao cho AB = R√3, C là điểm trên cung lớn AB, CA, CB cắt đường tròn đường kính AB lần lượt tại D và E. 5.1. Tính độ dài DE theo R. 5.2. Tìm vị trí của điểm C để diện tích tứ giác ABED đạt giá trị lớn nhất.
+ Cho đường tròn (O;R), đường thẳng d cố định cắt đường tròn tại hai điểm D, E. Trên tia đối của tia DE lấy điểm A khác D. Vẽ các tiếp tuyến AB, AC (B, C là tiếp điểm) của (O), BC cắt AO tại F. 6.1. Chứng minh DEOF là tứ giác nội tiếp. 6.2. Khi A di chuyển trên tia đối của tia DE và A khác D thì BC đi qua một điểm cố định.
Download Center
Chọn tài liệu bạn muốn tải về







