z Mục lục tài liệu
Nội dung chi tiết

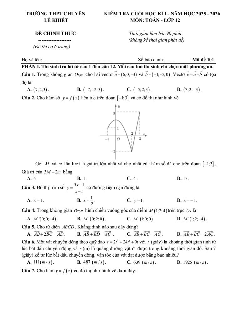
MonToan.com.vn giới thiệu đến quý thầy, cô giáo và các em học sinh đề kiểm tra cuối học kì 1 môn Toán 12 năm học 2025 – 2026 trường THPT chuyên Lê Khiết, tỉnh Quảng Ngãi. Đề thi gồm 12 câu trắc nghiệm nhiều phương án lựa chọn + 04 câu trắc nghiệm đúng sai + 04 câu trắc nghiệm trả lời ngắn + 02 câu tự luận, thời gian làm bài 90 phút.
Trích dẫn Đề cuối học kì 1 Toán 12 năm 2025 – 2026 trường chuyên Lê Khiết – Quảng Ngãi:
+ Trên phần mềm mô phỏng việc điều khiển Drone giao hàng trong không gian Oxyz, một Drone giao hàng đang ở toạ độ A(1; 2; -1) di chuyển đến địa điểm nhận hàng là B(2; -1; 3). Mỗi đơn vị trên phần mềm bằng 1km ngoài thực tế. Biết tốc độ của drone là 80km / h; giả sử rằng từ vị trí giao hàng và nhận hàng không gặp chướng ngại vật, sức cản của gió không đáng kể để Drone bay theo đường thẳng. Thời gian Drone bay từ vị trí ban đầu A đến địa điểm giao hàng B mất bao nhiêu phút (làm tròn đến hàng phần trăm)?
+ Một người nông dân có 18.000.000 đồng để làm một hàng rào hình chữ E dọc theo một con sông bao quanh hai khu đất trồng rau có dạng hai hình chữ nhật bằng nhau (như hình minh hoạ). Đối với mặt hàng rào song song với bờ sông thì chi phí nguyên vật liệu là 30.000 đồng/mét, còn đối với ba mặt hàng rào song song nhau thì chi phí nguyên vật liệu là 60.000 đồng/mét, mặt giáp với bờ sông không phải rào. Để tổng diện tích của hai khu đất lớn nhất thì chiều dài hàng rào song song với bờ sông bằng bao nhiêu mét?
+ Một trang sách có dạng hình chữ nhật với diện tích là 384 cm2. Sau khi để lề trên và lề dưới đều là 3 cm, để lề trái và lề phải đều là 2 cm. Phần còn lại của trang sách được in chữ. Kích thước của trang sách là bao nhiêu để phần in chữ trên trang sách có diện tích lớn nhất?
Download Center
Chọn tài liệu bạn muốn tải về












