z Mục lục tài liệu
Nội dung chi tiết

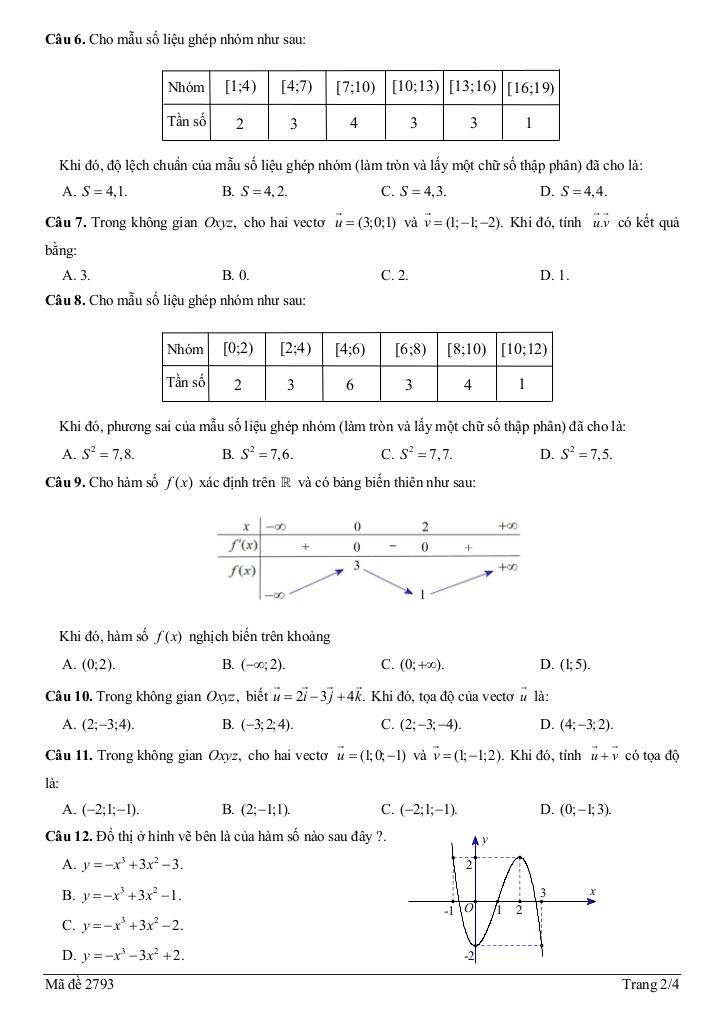
MonToan.com.vn giới thiệu đến quý thầy, cô giáo và các em học sinh đề kiểm tra cuối học kỳ 1 môn Toán 12 năm học 2025 – 2026 trường THPT Bảo Lộc, tỉnh Lâm Đồng. Đề thi gồm 12 câu trắc nghiệm nhiều phương án lựa chọn + 03 câu trắc nghiệm đúng sai + 04 câu trắc nghiệm trả lời ngắn + 02 câu tự luận, thời gian làm bài 90 phút, có đáp án và hướng dẫn chấm điểm mã đề 1234 – 2793 – 4658 – 5789.
Trích dẫn Đề cuối học kỳ 1 Toán 12 năm 2025 – 2026 trường THPT Bảo Lộc – Lâm Đồng:
+ Trong không gian có hai con chim bói cá đậu trên hai cành cây khác nhau để quan sát tìm mồi và hướng về một con cá trên mặt nước. Biết chim bói cá thứ nhất đứng yên ở vị trí A, chim bói cá thứ hai đứng yên ở vị trí B và con cá nằm yên trên mặt nước phẳng lặng ở vị trí C (tham khảo hình minh họa bên dưới). Chọn hệ trục tọa độ Oxyz sao cho đơn vị trên mỗi trục là mét và biết A(5;-3;1), B(4;6;4), C(a;b;c). Giả sử mặt nước trùng với mặt phẳng (Oxy), góc ACB = 90 và b = 2a. Khi đó, hãy tìm tọa độ điểm C.
+ Người ta muốn làm một đường để tránh tảng đá lớn ở vị trí D. Trong quá trình khảo sát họ chọn hai vị trí A và B để làm con đường nhằm nối hai vị trí A và B đồng thời con đường luôn đi qua vị trí M cố định. Giả sử con đường nối hai vị trí A và B là một đường thẳng và ba vị trí A, M, B theo thứ tự thẳng hàng. Biết đường thẳng AD vuông góc với đường thẳng BD (tham khảo hình minh họa bên dưới). Nếu khoảng cách từ M đến đường thẳng AD bằng 1km và khoảng cách từ M đến đường thẳng BD bằng 8km thì phải chọn vị trí A và vị trí B cách vị trí D một khoảng bao nhiêu ki lô mét để con đường AB ngắn nhất.
Download Center
Chọn tài liệu bạn muốn tải về
















