z Mục lục tài liệu
Nội dung chi tiết

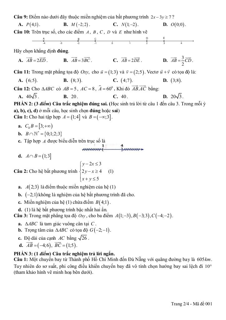
1 / 10
Quý thầy cô và học sinh đang tham khảo đề cuối kì 1 toán 10 năm 2024 – 2025 trường thpt trần quang diệu – quảng ngãi, bộ đề thi được xây dựng bám sát chuẩn đề thi toán cập nhật nhất. Cấu trúc đề bảo đảm độ phủ kiến thức đồng đều, mức độ câu hỏi được cân chỉnh từ nhận biết đến vận dụng cao, phù hợp kiểm tra toàn diện năng lực. Hãy khai thác triệt để tài liệu này để đánh giá chính xác trình độ hiện tại và tối ưu chiến lược luyện thi của bạn.
MonToan.com.vn giới thiệu đến quý thầy, cô giáo và các em học sinh đề kiểm tra cuối học kì 1 môn Toán 10 năm học 2024 – 2025 trường THPT Trần Quang Diệu, tỉnh Quảng Ngãi. Đề thi có đáp án và hướng dẫn chấm điểm.
File WORD (dành cho quý thầy, cô): TẢI XUỐNG
Bạn đang khám phá nội dung đề cuối kì 1 toán 10 năm 2024 – 2025 trường thpt trần quang diệu – quảng ngãi trong chuyên mục bài tập toán lớp 10 trên nền tảng đề thi toán. Được biên soạn chuyên sâu và bám sát chặt chẽ chương trình sách giáo khoa hiện hành, bộ bài tập toán thpt này cam kết tối ưu hóa toàn diện quá trình ôn luyện, củng cố kiến thức Toán lớp 10 cho học sinh THPT, thông qua phương pháp tiếp cận trực quan và mang lại hiệu quả học tập vượt trội, tạo nền tảng vững chắc cho các cấp học cao hơn.
Download Center
Chọn tài liệu bạn muốn tải về
















