z Mục lục tài liệu
Nội dung chi tiết

MonToan.com.vn giới thiệu đến quý thầy, cô giáo và các em học sinh đề kiểm tra cuối học kì 1 môn Toán 10 năm học 2025 – 2026 trường THPT Đoàn Thượng, thành phố Hải Phòng. Đề thi có đáp án và hướng dẫn chấm điểm.
Trích dẫn Đề cuối kì 1 Toán 10 năm 2025 – 2026 trường THPT Đoàn Thượng – Hải Phòng:
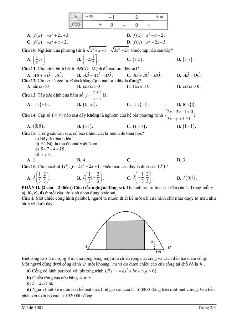
+ Một chiếc cổng hình parabol, người ta muốn thiết kế một cái cửa hình chữ nhật được tô màu như hình vẽ dưới đây. Biết cổng cao 4 m, rộng 8 m, cửa rộng bằng một nửa chiều rộng của cổng và cách đều hai chân cổng. Một người đứng dưới cổng cánh B một khoảng 1 m và đo được chiều cao của cổng tại chỗ đó là h. a) Cổng có hình parabol với phương trình (P): y = ax2 + bx + c (a /> 0). b) Chiều rộng của cừa bằng 4 mét. c) h = 2,75 m. d) Người thiết kế muốn sơn bề mặt cửa, biết giá sơn cửa là 160000 đồng trên một mét vuông. Giá tiền phải sơn toàn bộ cửa là 1920000 đồng.
+ Một công ty du lịch thông báo giá tiền chuyến tham quan của một đoàn khách du lịch như sau: 80 khách đầu tiên có giá là 500 000 đồng/người. Nếu có nhiều hơn 80 khách đăng kí thì cứ thêm 1 người, chi phí sẽ giảm 5 000 đồng/người cho cả đoàn khách du lịch. Số người của đoàn khách du lịch nhiều nhất là bao nhiêu thì công ty không bị lỗ? Biết rằng chi phí thực sự cho chuyến tham quan là 40 480 000 đồng.
+ Tổng chi phí P (đơn vị: nghìn đồng) để sản xuất x sản phẩm được cho bởi biểu thức P = x2 + 30x + 3300; giá bán một sản phẩm là 170 nghìn đồng. Tìm số sản phẩm tối thiểu và tối đa mà nhà sản xuất cần sản xuất để không bị lỗ. (giả sử các sản phẩm được bán hết)?
Download Center
Chọn tài liệu bạn muốn tải về











