z Mục lục tài liệu
Nội dung chi tiết

1 / 10
Quý thầy cô và học sinh đang tham khảo đề cương cuối kỳ 2 toán 10 năm 2025 – 2026 trường thpt đức trọng – lâm đồng, bộ đề thi được xây dựng bám sát chuẩn môn toán cập nhật nhất. Cấu trúc đề bảo đảm độ phủ kiến thức đồng đều, mức độ câu hỏi được cân chỉnh từ nhận biết đến vận dụng cao, phù hợp kiểm tra toàn diện năng lực. Hãy khai thác triệt để tài liệu này để đánh giá chính xác trình độ hiện tại và tối ưu chiến lược luyện thi của bạn.
MonToan.com.vn giới thiệu đến quý thầy, cô giáo và các em học sinh đề cương ôn tập cuối học kỳ 2 môn Toán 10 năm học 2025 – 2026 trường THPT Đức Trọng, tỉnh Lâm Đồng.
A. LÝ THUYẾT
1. Phương trình đường thẳng.
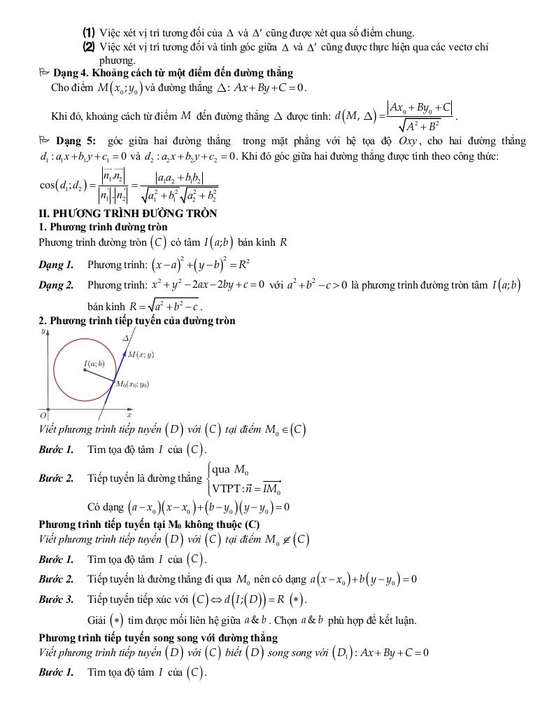
2. Phương trình đường tròn.
3. Quy tắc đếm.
4. Hoán vị – tổ hợp – chỉnh hợp.
5. Nhị thức Newton.
6. Không gian mẫu và biến cố.
7. Xác suất của biến cố.
B. BÀI TẬP
Phần 1. Câu hỏi trắc nghiệm nhiều lựa chọn.
Phần 2. Câu hỏi trắc nghiệm đúng sai.
Phần 3. Câu trắc nghiệm trả lời ngắn.
Phần 4. Tự luận.
Bạn đang khám phá nội dung đề cương cuối kỳ 2 toán 10 năm 2025 – 2026 trường thpt đức trọng – lâm đồng trong chuyên mục học toán 10 trên nền tảng môn toán. Được biên soạn chuyên sâu và bám sát chặt chẽ chương trình sách giáo khoa hiện hành, bộ bài tập toán thpt này cam kết tối ưu hóa toàn diện quá trình ôn luyện, củng cố kiến thức Toán lớp 10 cho học sinh THPT, thông qua phương pháp tiếp cận trực quan và mang lại hiệu quả học tập vượt trội, tạo nền tảng vững chắc cho các cấp học cao hơn.
Download Center
Chọn tài liệu bạn muốn tải về
















