z Mục lục tài liệu
Nội dung chi tiết

MonToan.com.vn giới thiệu đến quý thầy, cô giáo và các em học sinh đề cương ôn tập cuối học kỳ 2 môn Toán 12 năm học 2025 – 2026 trường THPT Hoàng Văn Thụ, thành phố Hà Nội.
1. MỤC TIÊU
1.1. Kiến thức: Học sinh ôn tập các kiến thức về:
– Nguyên hàm: khái niệm nguyên hàm của một hàm số, một số tính chất của nguyên hàm, nguyên hàm của một số hàm số thường gặp.
– Tích phân: định nghĩa, tính chất của tích phân, tính tích phân trong những trường hợp đơn giản, vận dụng tích phân giải quyết một số bài toán liên quan đến thực tiễn.
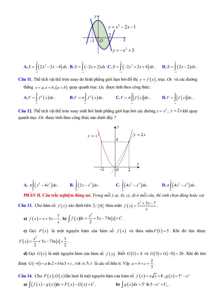
– Ứng dụng hình học của tích phân để tính diện tích hình phẳng, thể tích của một số vật thể.
– Phương trình mặt phẳng: Véc tơ pháp tuyến, cặp véc tơ chỉ phương của mặt phẳng, viết phương trình mặt phẳng, điều kiện hai mặt phẳng vuông góc, hai mặt phẳng song song, tính khoảng cách từ một điểm đến một mặt phẳng, vận dụng giải quyết một số bài toán liên quan đến thực tiễn.
– Phương trình đường thẳng trong không gian: véc tơ chỉ phương của đường thẳng, phương trình tham số, phương trình chính tắc của đường thẳng: vị trí tương đối của hai đường thẳng trong không gian.
– Công thức tính góc trong không gian.
– Phương trình mặt cầu.
– Xác suất có điều kiện, công thức xác suất toàn phần và công thức Bayes.
1.2. Kĩ năng: Học sinh rèn được các kĩ năng:
– Trình bày bài, kĩ năng tư duy, tính toán và lập luận toán học.
– Năng lực mô hình hoá toán học và năng lực giải quyết vấn đề toán học thông qua một số bài toán liên quan đến thực tiễn.
2. NỘI DUNG
1 Nguyên hàm.
2 Tích phân.
3 Ứng dụng hình học của tích phân.
4 Phương trình mặt phẳng.
5 Phương trình đường thẳng trong không gian.
6 Công thức tính góc trong không gian.
7 Phương trình mặt cầu.
8 Xác suất có điều kiện.
9 Công thức xác suất toàn phần và công thức.
Download Center
Chọn tài liệu bạn muốn tải về
















