z Mục lục tài liệu
Nội dung chi tiết

1 / 6
Quý thầy cô và học sinh đang tham khảo đề cương giữa học kì 1 toán 7 năm 2025 – 2026 trường thcs tân mai – hà nội, bộ đề thi được xây dựng bám sát chuẩn môn toán cập nhật nhất. Cấu trúc đề bảo đảm độ phủ kiến thức đồng đều, mức độ câu hỏi được cân chỉnh từ nhận biết đến vận dụng cao, phù hợp kiểm tra toàn diện năng lực. Hãy khai thác triệt để tài liệu này để đánh giá chính xác trình độ hiện tại và tối ưu chiến lược luyện thi của bạn.
MonToan.com.vn giới thiệu đến quý thầy, cô giáo và các em học sinh đề cương ôn tập giữa học kì 1 môn Toán 7 năm học 2025 – 2026 trường THCS Tân Mai, thành phố Hà Nội.
A. KIẾN THỨC ÔN TẬP
– Tập hợp Q các số hữu tỉ; các phép toán và thứ tự thực hiện các phép tính trong tập hợp số hữu tỉ; quy tắc dấu ngoặc; Số vô tỉ; căn bậc hai số học; tập hợp R các số thực; Giá trị tuyệt đối của một số thực.
– Hình hộp chữ nhật, hình lập phương; Hình lăng trụ đứng tam giác, hình lăng trụ đứng tứ giác; Góc ở vị trí đặc biệt; tia phân giác của một góc.
B. NỘI DUNG THAM KHẢO
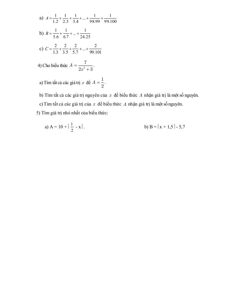
1. Trắc nghiệm.
2. Tự luận.
Bạn đang khám phá nội dung đề cương giữa học kì 1 toán 7 năm 2025 – 2026 trường thcs tân mai – hà nội trong chuyên mục giải bài tập toán lớp 7 trên nền tảng môn toán. Được biên soạn chuyên sâu và bám sát chương trình sách giáo khoa hiện hành, bộ bài tập toán thcs này cam kết tối ưu hóa toàn diện quá trình ôn luyện, củng cố kiến thức Toán lớp 7 cho học sinh, thông qua phương pháp tiếp cận trực quan và mang lại hiệu quả học tập vượt trội.
Download Center
Chọn tài liệu bạn muốn tải về












