z Mục lục tài liệu
Nội dung chi tiết

MonToan.com.vn giới thiệu đến quý thầy, cô giáo và các em học sinh đề cương ôn tập kiểm tra giữa học kì 1 môn Toán 10 năm học 2025 – 2026 trường THPT Bùi Hữu Nghĩa, thành phố Cần Thơ.
I. YÊU CẦU VỀ KIẾN THỨC ĐỐI VỚI HỌC SINH
Đại số:
+ Mệnh đề – Tập hợp và các phép toán.
+ Bất phương trình và hệ bất phương trình.
Hình học:
+ Giá trị lượng giác của góc từ 0 đến 180 và các định lý trong tam giác.
+ Giải tam giác.
+ Khái niệm vectơ.
II. CẤU TRÚC ĐỀ VÀ THỜI LƯỢNG
Thời gian làm bài 90 phút.
Đề gồm:
+ 12 câu Trắc nghiệm nhiều lựa chọn (3,0 điểm).
+ 4 câu Trắc nghiệm đúng sai (4,0 điểm).
+ 2 câu Tự luận (3,0 điểm).
III. BÀI TẬP ÔN LUYỆN
Download Center
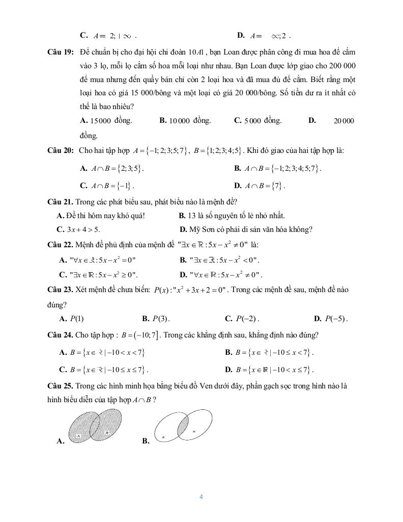
Chọn tài liệu bạn muốn tải về
















