z Mục lục tài liệu
Nội dung chi tiết

MonToan.com.vn giới thiệu đến quý thầy, cô giáo và các em học sinh đề cương ôn thi giữa học kì 1 môn Toán 8 năm học 2025 – 2026 trường THCS Nguyễn Văn Linh, phường Tam Thắng, thành phố Hồ Chí Minh.
1. KIẾN THỨC TRỌNG TÂM
A. BIỂU THỨC ĐẠI SỐ.
– Nhận biết được đơn thức, đa thức.
– Tính giá trị đa thức khi biết giá trị của biến.
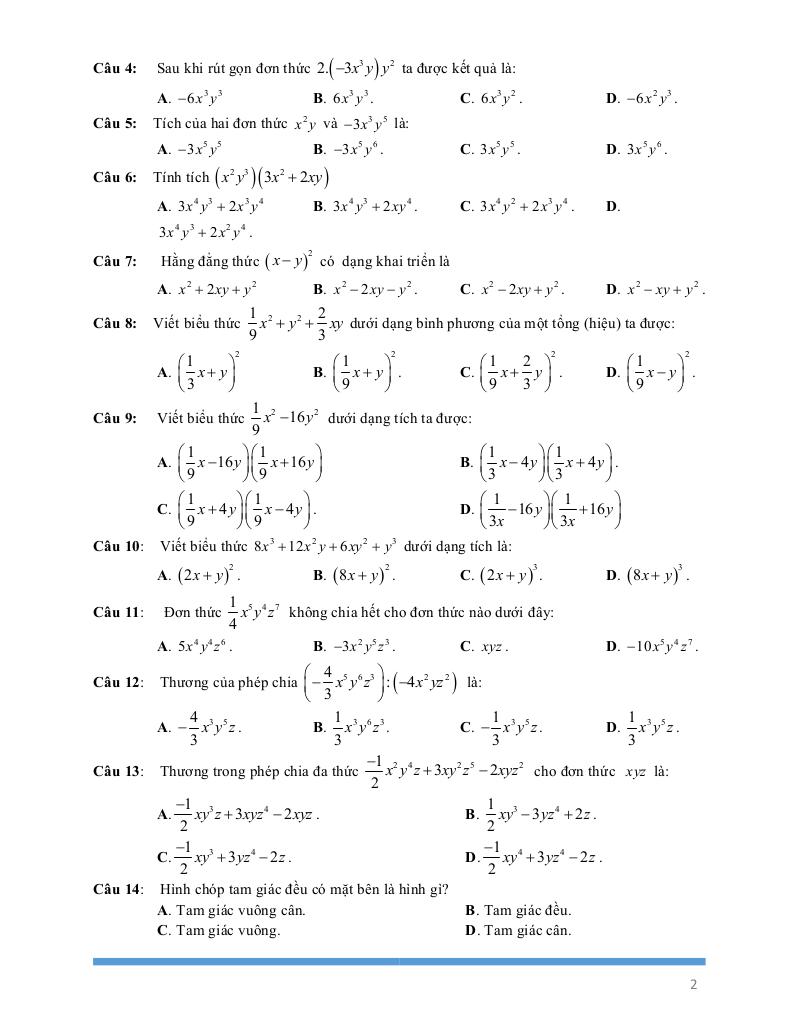
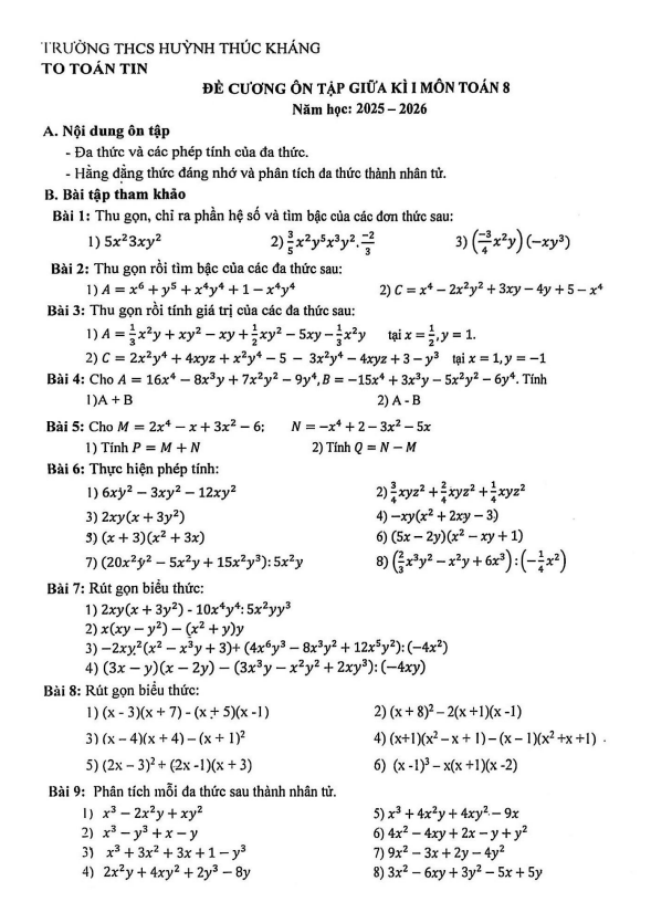
– Thu gọn đơn thức, đa thức.
– Cộng trừ đa thức.
– Nhân, chia đơn thức, đa thức.
– Nhận biết hằng đẳng thức.
– Vận dụng được các hằng đẳng thức vào các bài tập đơn giản.
– Phân tích đa thức thành nhân tử.
– Vận dụng được việc phân tích đa thức thành nhân tử vào các bài toán.
– Tìm giá trị lớn nhất, giá trị nhỏ nhất của một biểu thức, chứng minh đẳng thức.
B. CÁC HÌNH KHỐI TRONG THỰC TIỄN.
– Mô tả được hình chóp tam giác đều và hình chóp tứ giác đều.
– Tính được thể tích, diện tích xung quanh của hình chóp tam giác đều và hình chóp tứ giác đều.
– Tính được diện tích xung quanh và thể tích một số vật thể trong thực tiễn có dạng hình chóp tam giác đều và hình chóp tứ giác đều.
C. ĐỊNH LÍ PYTHAGORE. CÁC LOẠI TỨ GIÁC THƯỜNG GẶP.
– Tính được độ dài cạnh trong tam giác vuông bằng cách sử dụng định lý Pythagore.
– Giải quyết vấn đề thực tiễn gắn với việc vận dụng định lý Pythagore.
– Biết định lí tổng các góc của một tứ giác.
– Hình thang, hình thang cân và các bài toán liên quan.
2. BÀI TẬP THỰC HÀNH
A. TRẮC NGHIỆM.
B. TỰ LUẬN.
– Phần 1. Đại số.
– Phần 2. Hình học.
– Phần 3. Bài toán thực tế.
– Phần 4. Bài toán nâng cao.
Download Center
Chọn tài liệu bạn muốn tải về















