z Mục lục tài liệu
Nội dung chi tiết

MonToan.com.vn giới thiệu đến quý thầy, cô giáo và các em học sinh đề cương ôn tập cuối học kì 1 môn Toán 7 năm học 2025 – 2026 hệ thống giáo dục Archimedes School, thành phố Hà Nội.
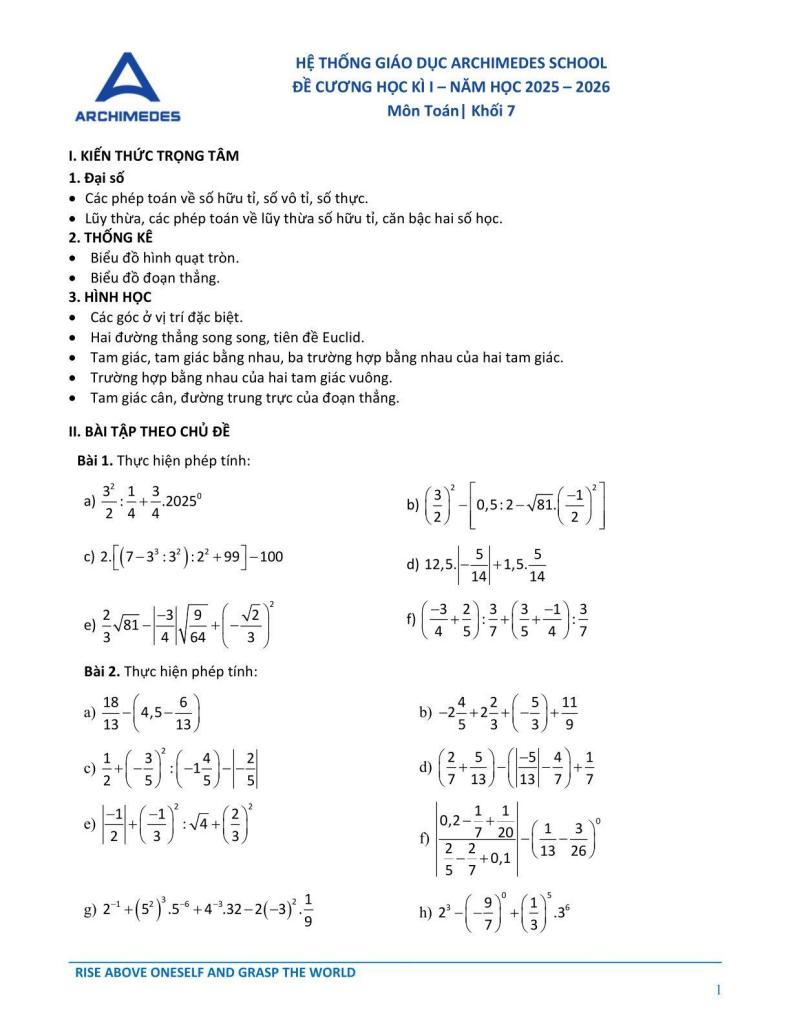
I. KIẾN THỨC TRỌNG TÂM.
1. ĐẠI SỐ.
+ Các phép toán về số hữu tỉ, số vô tỉ, số thực.
+ Lũy thừa, các phép toán về lũy thừa số hữu tỉ, căn bậc hai số họс.
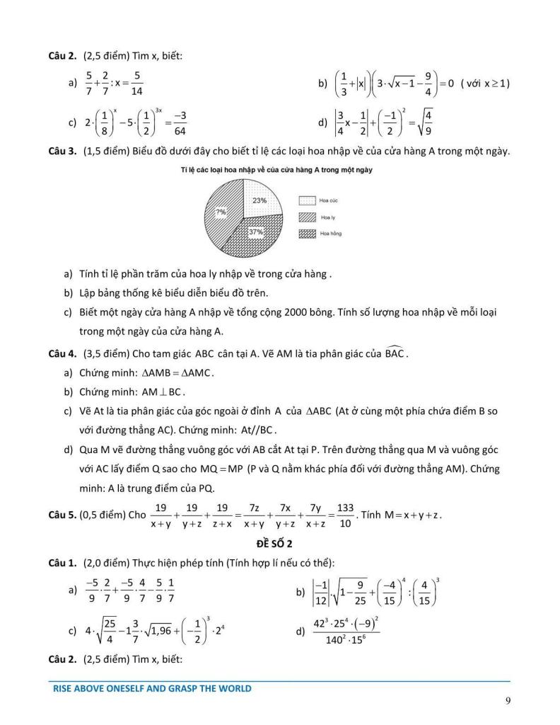
2. THỐNG KÊ.
+ Biểu đồ hình quạt tròn.
+ Biểu đồ đoạn thẳng.
3. HÌNH HỌC.
+ Các góc ở vị trí đặc biệt.
+ Hai đường thẳng song song, tiên đề Euclid.
+ Tam giác, tam giác bằng nhau, ba trường hợp bằng nhau của hai tam giác.
+ Trường hợp bằng nhau của hai tam giác vuông.
+ Tam giác cân, đường trung trực của đoạn thẳng.
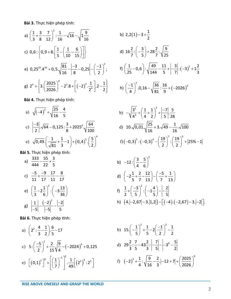
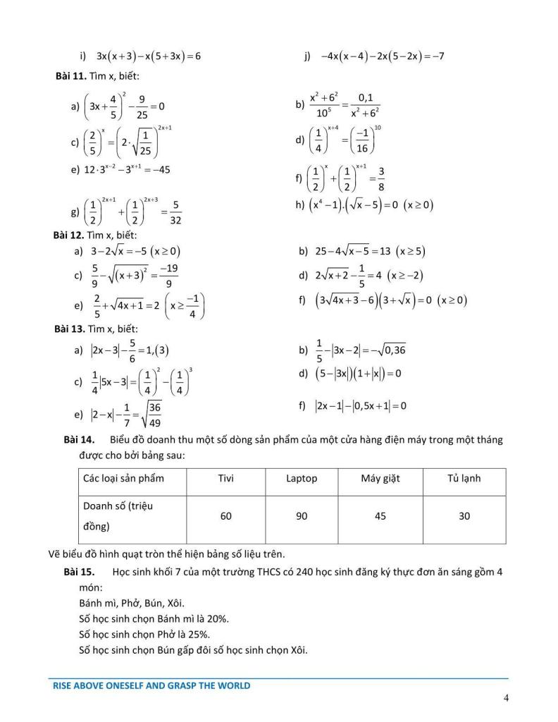
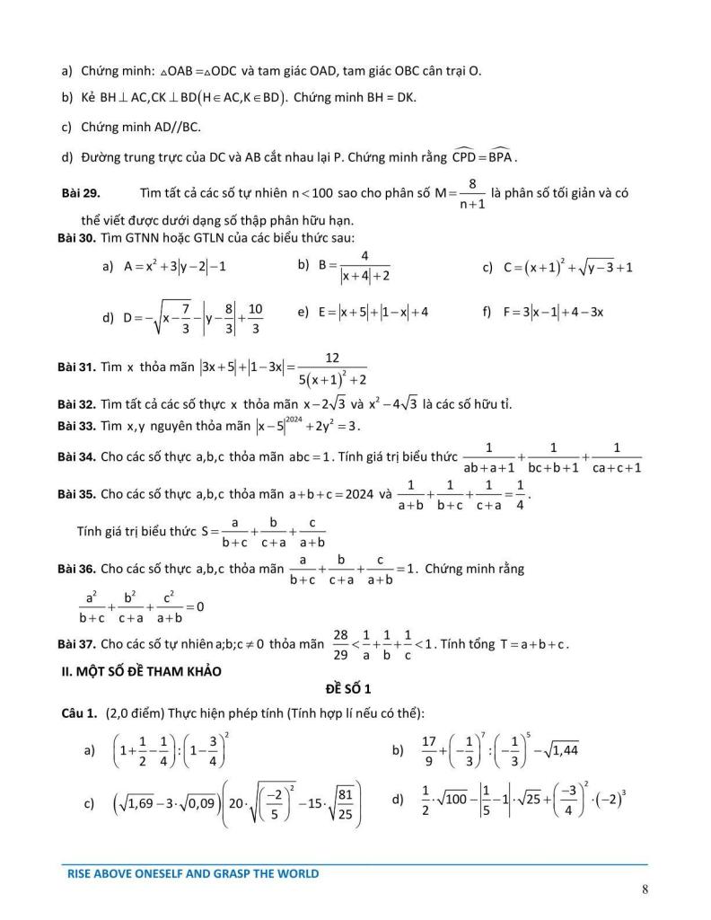
II. BÀI TẬP THEO CHỦ ĐỀ.
III. MỘT SỐ ĐỀ THAM KHẢO.
Download Center
Chọn tài liệu bạn muốn tải về
















