z Mục lục tài liệu
Nội dung chi tiết

1 / 8
Quý thầy cô và học sinh đang tham khảo đề cương học kì 1 toán 8 năm 2025 – 2026 trường thcs phúc diễn – hà nội, bộ đề thi được xây dựng bám sát chuẩn toán học cập nhật nhất. Cấu trúc đề bảo đảm độ phủ kiến thức đồng đều, mức độ câu hỏi được cân chỉnh từ nhận biết đến vận dụng cao, phù hợp kiểm tra toàn diện năng lực. Hãy khai thác triệt để tài liệu này để đánh giá chính xác trình độ hiện tại và tối ưu chiến lược luyện thi của bạn.
MonToan.com.vn giới thiệu đến quý thầy, cô giáo và các em học sinh đề cương ôn tập cuối học kì 1 môn Toán 8 năm học 2025 – 2026 trường THCS Phúc Diễn, thành phố Hà Nội.
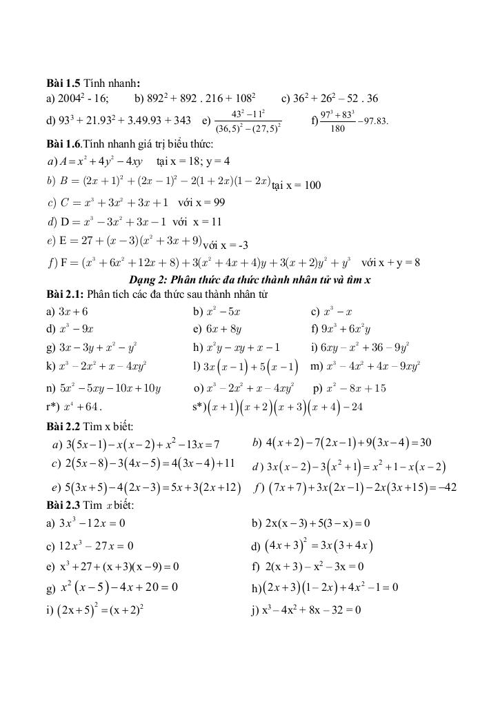
Dạng 1: Thực hiện phép tính và rút gọn.
Dạng 2: Phân thức đa thức thành nhân tử và tìm x.
Dạng 3: Bài toán thực tế.
Dạng 4: Dữ liệu và biểu đồ.
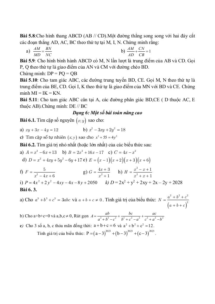
Dạng 5: Hình học.
Dạng 6: Một số bài toán nâng cao.
File WORD (dành cho quý thầy, cô): TẢI XUỐNG
Bạn đang khám phá nội dung đề cương học kì 1 toán 8 năm 2025 – 2026 trường thcs phúc diễn – hà nội trong chuyên mục sgk toán 8 trên nền tảng toán học. Được biên soạn chuyên sâu và bám sát chương trình sách giáo khoa hiện hành, bộ bài tập toán thcs này cam kết tối ưu hóa toàn diện quá trình ôn luyện, củng cố kiến thức Toán lớp 8 cho học sinh, thông qua phương pháp tiếp cận trực quan và mang lại hiệu quả học tập vượt trội.
Download Center
Chọn tài liệu bạn muốn tải về














