z Mục lục tài liệu
Nội dung chi tiết

MonToan.com.vn giới thiệu đến quý thầy, cô giáo và các em học sinh đề cương ôn tập cuối học kì 2 môn Toán 7 năm học 2025 – 2026 hệ thống giáo dục Archimedes School, thành phố Hà Nội.
Phần I – LÝ THUYẾT.
1. TỈ LỆ THỨC VÀ ĐẠI LƯỢNG TỈ LỆ.
+ Tỉ lệ thức; tính chất của dãy tỉ số bằng nhau.
+ Đại lượng tỉ lệ thuận, đại lượng tỉ lệ nghịch.
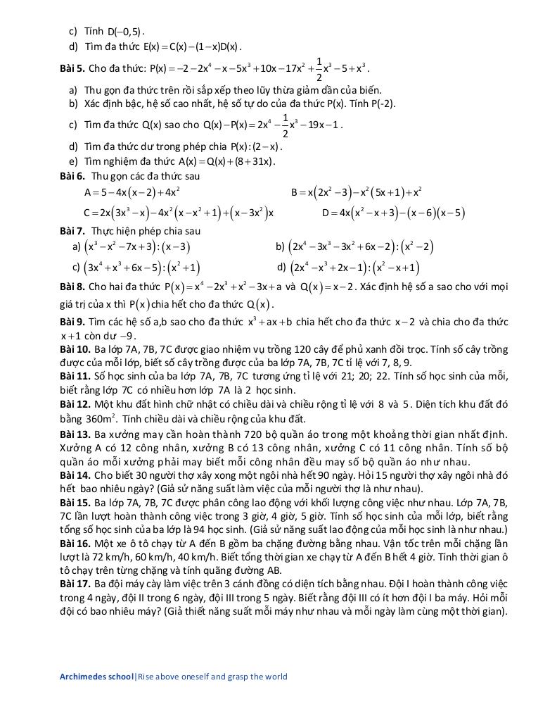
2. BIỂU THỨC ĐẠI SỐ VÀ ĐA THỨC MỘT BIẾN.
+ Các phép cộng, trừ, nhân, chia đa thức một biến.
+ Nghiệm của đa thức một biến.
3. MỘT SỐ HÌNH KHỐI TRONG THỰC TIỄN.
+ Hình hộp chữ nhật và lập phương.
+ Hình lăng trụ đứng tam giác và lăng trụ đứng tứ giác.
4. QUAN HỆ GIỮA CÁC YẾU TỐ TRONG MỘT TAM GIÁC.
+ Quan hệ giữa cạnh và góc đối diện trong một tam giác.
+ Quan hệ giữa đường vuông góc và đường xiên.
+ Quan hệ giữa ba cạnh trong tam giác.
+ Sự đồng quy của ba đường trung tuyến, ba đường phân giác, ba đường cao, ba đường trung trực trong một tam giác.
Phần II – BÀI TẬP.
Phần III – MỘT SỐ ĐỀ LUYỆN.
Download Center
Chọn tài liệu bạn muốn tải về
















