z Mục lục tài liệu
Nội dung chi tiết

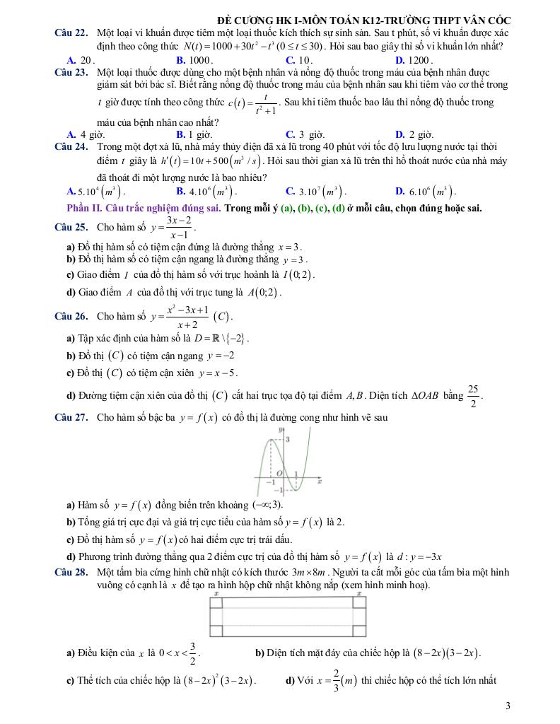
1 / 10
Quý thầy cô và học sinh đang tham khảo đề cương học kỳ 1 toán 12 năm 2025 – 2026 trường thpt vân cốc – hà nội, bộ đề thi được xây dựng bám sát chuẩn toán cập nhật nhất. Cấu trúc đề bảo đảm độ phủ kiến thức đồng đều, mức độ câu hỏi được cân chỉnh từ nhận biết đến vận dụng cao, phù hợp kiểm tra toàn diện năng lực. Hãy khai thác triệt để tài liệu này để đánh giá chính xác trình độ hiện tại và tối ưu chiến lược luyện thi của bạn.
MonToan.com.vn giới thiệu đến quý thầy, cô giáo và các em học sinh đề cương ôn tập cuối học kỳ 1 môn Toán 12 năm học 2025 – 2026 trường THPT Vân Cốc, thành phố Hà Nội.
A. KIẾN THỨC ÔN TẬP
Chương 1: Ứng dụng của đạo hàm để khảo sát và vẽ đồ thị hàm số.
Chương 2: Phương pháp toạ độ trong không gian.
Chương 3: Các số đặc trưng đo mức độ phân tán của mẫu số liệu ghép nhóm.
Chương 4: Khái niệm và tính chất nguyên hàm.
B. NỘI DUNG
Bạn đang khám phá nội dung đề cương học kỳ 1 toán 12 năm 2025 – 2026 trường thpt vân cốc – hà nội trong chuyên mục sgk toán 12 trên nền tảng toán. Được biên soạn chuyên sâu và bám sát chặt chẽ chương trình sách giáo khoa hiện hành, bộ bài tập toán trung học phổ thông này cam kết tối ưu hóa toàn diện quá trình ôn luyện, củng cố kiến thức Toán lớp 12 cho học sinh THPT, thông qua phương pháp tiếp cận trực quan và mang lại hiệu quả học tập vượt trội, tạo nền tảng vững chắc cho Kỳ thi Tốt nghiệp THPT Quốc gia và hành trang vào đại học.
Download Center
Chọn tài liệu bạn muốn tải về
















