z Mục lục tài liệu
Nội dung chi tiết

MonToan.com.vn giới thiệu đến quý thầy, cô giáo và các em học sinh đề cương ôn tập kiểm tra cuối học kỳ 1 môn Toán 9 năm học 2025 – 2026 trường THCS Ái Mộ, phường Bồ Đề, thành phố Hà Nội.

I. KIẾN THỨC TRỌNG TÂM
1. Số và Đại số.
– Phương trình và hệ phương trình bậc nhất hai ẩn, bất phương trình bậc nhất một ẩn.
2. Hình học:
– Tỉ số lượng giác của góc nhọn. Hệ thức giữa cạnh và góc trong tam giác vuông.
– Định nghĩa đường tròn, dây và đường kính của đường tròn.
– Góc ở tâm, số đo cung, góc nội tiếp.
– Độ dài cung tròn. Diện tích quạt tròn và hình vành khuyên.
– Dấu hiệu nhận biết tiếp tuyến của đường tròn. Tính chất hai tiếp tuyến cắt nhau.
– Vị trí tương đối của đường thẳng với đường tròn, hai đường tròn.
II. CÁC DẠNG BÀI TẬP ĐIỂN HÌNH
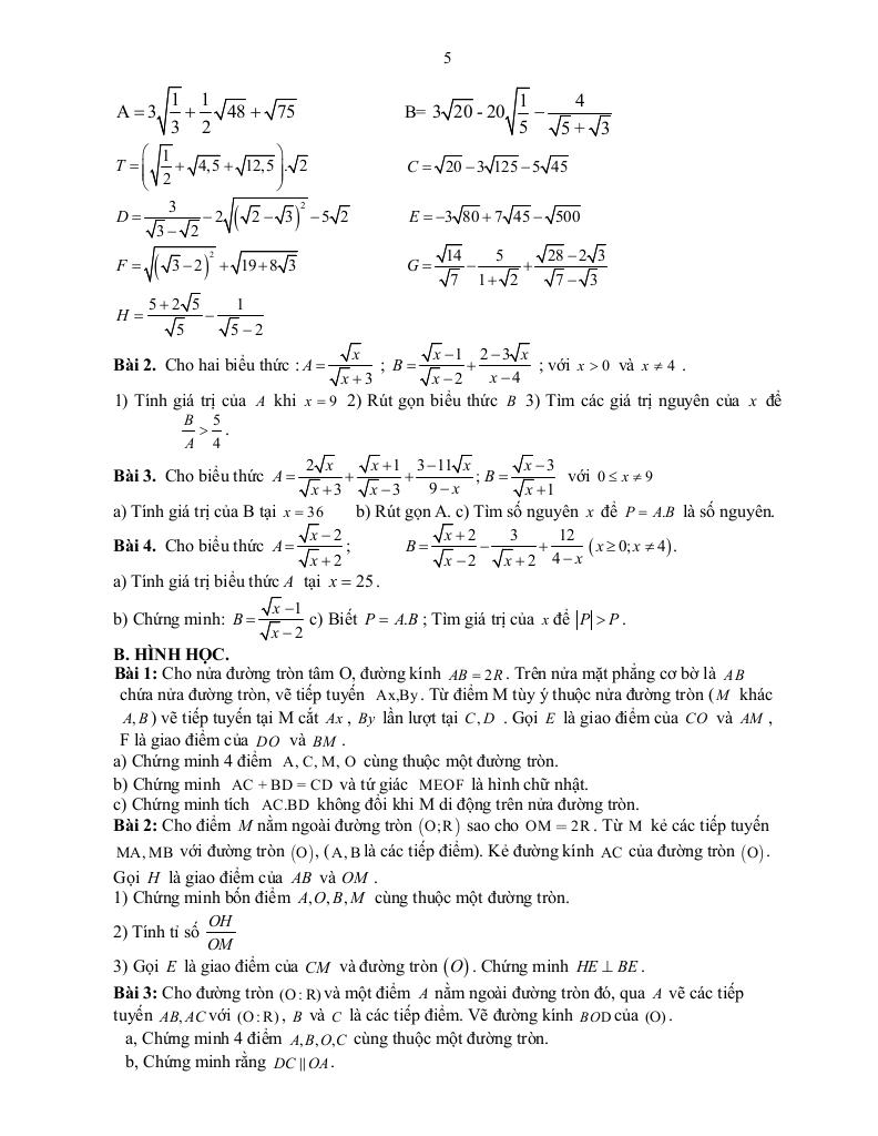
1. Giải hệ phương trình bậc nhất hai ẩn. Giải phương trình tích, phương trình chứa ẩn ở mẫu.
2. Giải bài toán bằng cách lập hệ phương trình. Toán thực tế.
3. Giải bất phương trình bậc nhất một ẩn.
4. Tính độ dài các cạnh, số đo các góc trong tam giác vuông.
5. Chứng minh bốn điểm cùng thuộc 1 đường tròn, hệ thức, tia tiếp tuyến.
Download Center
Chọn tài liệu bạn muốn tải về











