z Mục lục tài liệu
Nội dung chi tiết

MonToan.com.vn giới thiệu đến quý thầy, cô giáo và các em học sinh đề kiểm tra đánh giá giữa học kì 1 môn Toán 7 năm học 2025 – 2026 trường THCS Bát Tràng, xã Bát Tràng, thành phố Hà Nội. Đề thi có đáp án, lời giải chi tiết và hướng dẫn chấm điểm.
Trích dẫn Đề giữa học kì 1 Toán 7 năm 2025 – 2026 trường THCS Bát Tràng – Hà Nội:
+ Để chuẩn bị năm học mới, bạn An dự định mua 10 quyển vở, giá 12 000 đồng/quyển và 6 cây bút bi, giá 5 000 đồng/cây. Tuy nhiên, khi An đến cửa hàng, toàn bộ sản phẩm đang được giảm giá 20%. a) Tính số tiền bạn An được giảm? b) Giả sử bạn An mang theo 160 000 đồng. Hỏi cửa hàng phải trả lại An bao nhiêu tiền?
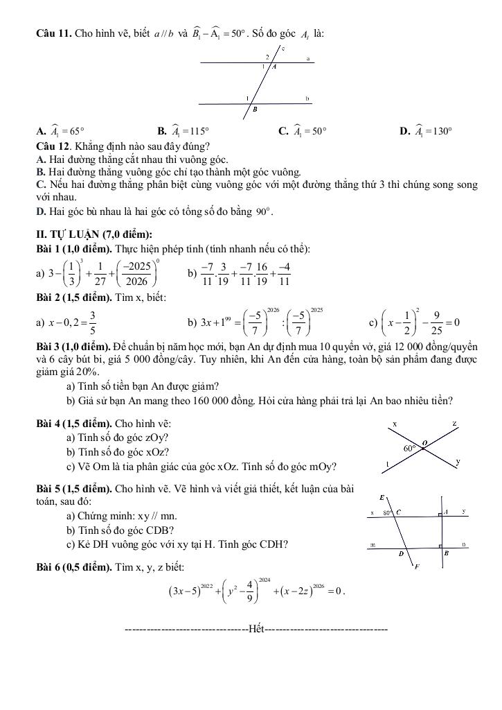
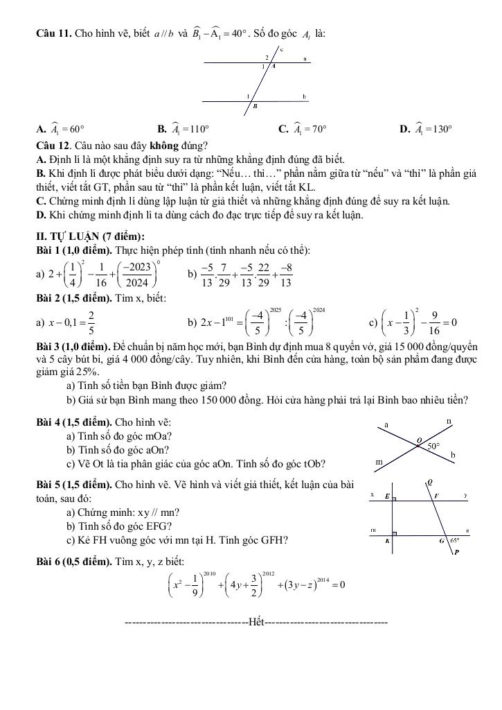
+ Cho hình vẽ: a) Tính số đo góc zOy? b) Tính số đo góc xOz? c) Vẽ Om là tia phân giác của góc xOz. Tính số đo góc mOy?
+ Cho hình vẽ. Vẽ hình và viết giả thiết, kết luận của bài toán, sau đó: a) Chứng minh: xy // mn. b) Tính số đo góc CDB? c) Kẻ DH vuông góc với xy tại H. Tính góc CDH?
File WORD (dành cho quý thầy, cô): TẢI XUỐNG
Download Center
Chọn tài liệu bạn muốn tải về













