z Mục lục tài liệu
Nội dung chi tiết

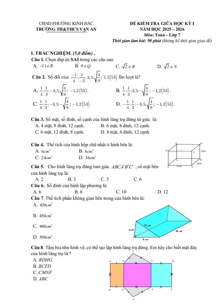
MonToan.com.vn giới thiệu đến quý thầy, cô giáo và các em học sinh đề kiểm tra giữa học kỳ 1 môn Toán 7 năm học 2025 – 2026 trường TH&THCS Vạn An, phường Kinh Bắc, tỉnh Bắc Ninh. Đề thi hình thức 50% trắc nghiệm kết hợp 50% tự luận, thời gian làm bài 90 phút, có đáp án và hướng dẫn chấm điểm.
Trích dẫn Đề giữa học kỳ 1 Toán 7 năm 2025 – 2026 trường TH&THCS Vạn An – Bắc Ninh:
+ Gạo lứt là một thực phẩm giúp giảm cân kiểm soát được lượng đường trong máu và ngăn ngừa một số yếu tố nguy cơ mắc bệnh tim ung thư theo viện dinh dưỡng Quốc gia trong 100 g gạo lứt có 7,5 gam protein; 2,5 g lin; 72,8 g gluxit; 3,4 g xenlulozơ; 1,4 g cho và phần còn lại là nước. Hỏi khối lượng nước trong 400 g gạo lứt là bao nhiêu ?
+ Một bể cá dạng hình hộp chữ nhật làm bằng kính (không có nắp) có chiều dài 80cm, chiều rộng 50cm, chiều cao 45cm. a) Tính thể tích của bể cá. b) Tính diện tích kính dùng để làm bể cá đó. c) Người ta cho vào bể một hòn đá có thể tích 10dm3. Biết Mực nước ban đầu trong bể cao 35cm. Hỏi mực nước trong bể lúc này cao bao nhiêu xăng-timét.
+ Một cửa hàng nhập về một số sản phẩm hết tất cả 35 000 000 đồng. Chủ cửa hàng đã bán 6/7 số sản phẩm nhập về đó với giá bán mỗi sản phẩm cao hơn 10% so với giá nhập vào và bán 1/7 số sản phẩm còn lại với giá bán mỗi sản phẩm thấp hơn 25% so với giá nhập vào. Tính số tiền cửa hàng bán được?
File WORD (dành cho quý thầy, cô): TẢI XUỐNG
Download Center
Chọn tài liệu bạn muốn tải về















