z Mục lục tài liệu
Nội dung chi tiết

MonToan.com.vn giới thiệu đến quý thầy, cô giáo và các em học sinh đề kiểm tra giữa học kỳ 2 môn Toán 10 năm học 2025 – 2026 trường THPT Ngô Gia Tự số 1, tỉnh Đắk Lắk. Đề thi có đáp án và hướng dẫn chấm điểm.
Trích dẫn Đề giữa học kỳ 2 Toán 10 năm 2025 – 2026 trường THPT Ngô Gia Tự 1 – Đắk Lắk:
+ Bác Nam muốn uốn tấm tôn phẳng có dạng hình chữ nhật với bề ngang AB = 40cm thành một rãnh dẫn nước bằng cách chia tấm tôn đó thành ba phần rồi gấp hai bên theo một góc vuông sao cho độ cao hai thành rãnh bằng nhau. Để đảm bảo kỹ thuật, diện tích mặt cắt ngang (hình chữ nhật AMNB) của rãnh dẫn nước phải lớn hơn hoặc bằng 150cm2. Bác Nam cần làm rãnh dẫn nước có độ cao ít nhất là bao nhiêu?
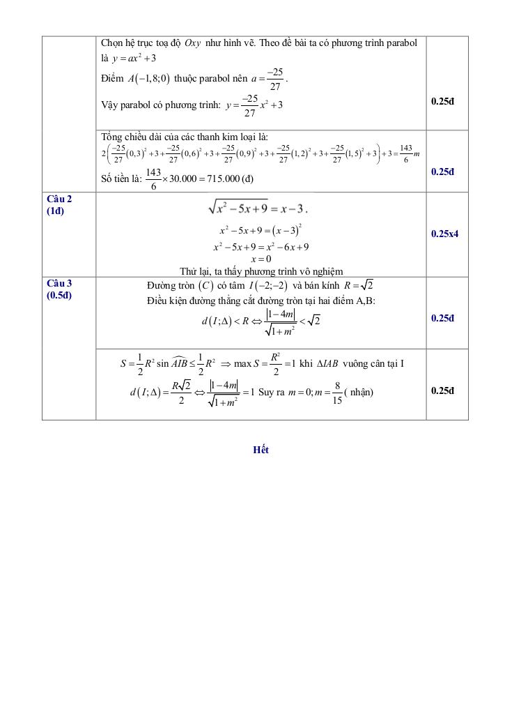
+ Một chiếc cổng của một hầm trú ẩn có hình dạng parabol như hình vẽ, được bảo vệ bằng các thanh kim loại song song với trục của parabol. Chiều rộng của cổng là AB = 3,6m, chiều cao của cổng là OH = 3m. Biết rằng chân trụ của các thanh kim loại cách đều nhau trên đoạn thẳng AB, giá thanh kim loại là 30.000 đồng một mét. Tính tiền sắt làm song thưa.
+ Trong mặt phẳng Oxy cho đường tròn (C) có phương trình: x2 + y2 + 4x + 4y + 6 = 0 và đường thẳng ∆: x + my – 2m + 3 = 0, với m là số thực. Gọi I là tâm của đường tròn (C). Tìm m để ∆ cắt (C) tại hai điểm phân biệt A, B sao cho diện tích tam giác IAB lớn nhất.
File WORD (dành cho quý thầy, cô): TẢI XUỐNG
Download Center
Chọn tài liệu bạn muốn tải về















