z Mục lục tài liệu
Nội dung chi tiết

MonToan.com.vn giới thiệu đến quý thầy, cô giáo và các em học sinh đề kiểm tra giữa học kì 1 môn Toán 10 năm học 2025 – 2026 trường THPT chuyên Vị Thanh, thành phố Cần Thơ. Đề thi có đáp án mã đề 1001 1002 1003 1004.
Trích dẫn Đề giữa kì 1 Toán 10 năm 2025 – 2026 trường THPT chuyên Vị Thanh – Cần Thơ:
+ Một cơ sở sản xuất hai loại bàn và ghế. Để làm 1 chiếc bàn cần 3 tấm gỗ và 2 giờ công; để làm 1 chiếc ghế cần 2 tấm gỗ và 1 giờ công. Cơ sở có tối đa 18 tấm gỗ và 10 giờ công trong một ngày. Lợi nhuận từ mỗi chiếc bàn và ghế lần lượt là 200 nghìn đồng và 100 nghìn đồng. Gọi x, y lần lượt là số bàn và ghế được làm trong ngày. Để lợi nhuận đạt lớn nhất, trong ngày cơ sở cần sản xuất bao nhiêu chiếc mỗi loại?
+ Trong kì thi học sinh giỏi cấp trường, lớp 10A có 15 học sinh thi môn Ngữ văn, 20 học sinh thi môn Toán, 5 học sinh thi cả hai môn Ngữ văn và Toán. Biết rằng lớp 10A có 40 học sinh, hỏi lớp 10A có bao nhiêu học sinh không thi cả hai môn Toán và Ngữ văn.
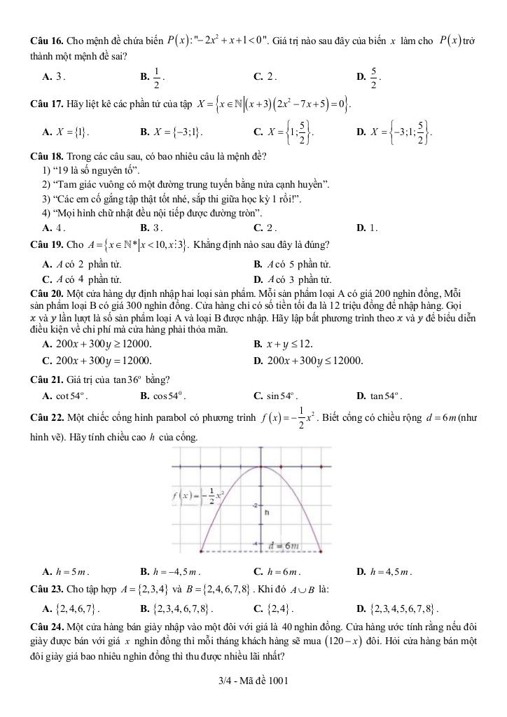
+ Trong các câu sau, có bao nhiêu câu là mệnh đề? 1) “19 là số nguyên tố”. 2) “Tam giác vuông có một đường trung tuyến bằng nửa cạnh huyền”. 3) “Các em cố gắng tập thật tốt nhé, sắp thi giữa học kỳ 1 rồi!”. 4) “Mọi hình chữ nhật đều nội tiếp được đường tròn”.
File WORD (dành cho quý thầy, cô): TẢI XUỐNG
Download Center
Chọn tài liệu bạn muốn tải về












