z Mục lục tài liệu
Nội dung chi tiết

MonToan.com.vn giới thiệu đến quý thầy, cô giáo và các em học sinh đề kiểm tra giữa học kì 1 môn Toán 7 năm học 2024 – 2025 trường THCS Nguyễn Công Trứ, quận Cẩm Lệ, thành phố Đà Nẵng. Đề thi có đáp án và hướng dẫn chấm điểm.
Trích dẫn Đề giữa kì 1 Toán 7 năm 2024 – 2025 trường THCS Nguyễn Công Trứ – Đà Nẵng:
+ Giá niêm yết một cái áo mã A120 tại một cửa hàng A là 800 000 đồng. Nhân dịp 20/10 cửa hàng giảm 20% cho tất cả các sản phẩm theo giá niêm yết. a) Hỏi giá một cái áo mã A120 sau khi được giảm là bao nhiêu tiền?
+ Trong đợt giảm giá này, cửa hàng giảm thêm 20% trên giá đã giảm đối với khách hàng có thẻ thành viên. Mẹ Bình mua một cái áo mã A120 và một áo khoác với số tiền là 1 040 000 đồng. Hỏi áo khoác mẹ Bình mua có giá niêm yết là bao nhiêu, biết mẹ Bình mua trong đợt giảm giá và có thẻ thành viên cửa hàng?
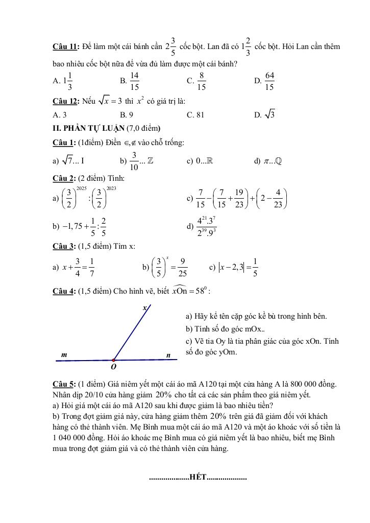
+ Cho hình vẽ, biết xOn = 58. a) Hãy kể tên cặp góc kề bù trong hình bên. b) Tính số đo góc mOx. c) Vẽ tia Oy là tia phân giác của góc xOn. Tính số đo góc yOm.
File WORD (dành cho quý thầy, cô): TẢI XUỐNG
Download Center
Chọn tài liệu bạn muốn tải về
















