z Mục lục tài liệu
Nội dung chi tiết

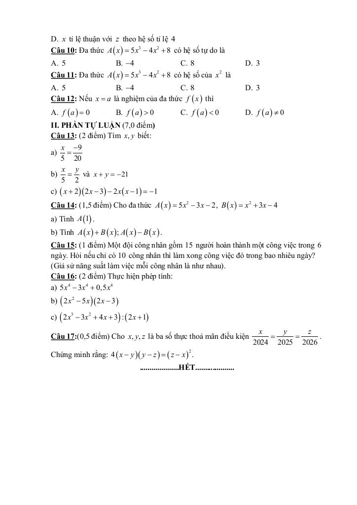
MonToan.com.vn giới thiệu đến quý thầy, cô giáo và các em học sinh đề kiểm tra giữa học kì 2 môn Toán 7 năm học 2024 – 2025 trường THCS Nguyễn Công Trứ, quận Cẩm Lệ, thành phố Đà Nẵng. Đề thi có đáp án và hướng dẫn chấm điểm.
Trích dẫn Đề giữa kì 2 Toán 7 năm 2024 – 2025 trường THCS Nguyễn Công Trứ – Đà Nẵng:
+ Cho x tỉ lệ thuận với y theo hệ số tỉ lệ 2 và y tỉ lệ nghịch với z theo hệ số tỉ lệ 8. Khẳng định đúng là: A. x tỉ lệ nghịch với z theo hệ số tỉ lệ 16 B. x tỉ lệ nghịch với z theo hệ số tỉ lệ 4 C. x tỉ lệ thuận với z theo hệ số tỉ lệ 16 D. x tỉ lệ thuận với z theo hệ số tỉ lệ 4.
+ Một đội công nhân gồm 15 người hoàn thành một công việc trong 6 ngày. Hỏi nếu chỉ có 10 công nhân thì làm xong công việc đó trong bao nhiêu ngày? (Giả sử năng suất làm việc mỗi công nhân là như nhau).
File WORD (dành cho quý thầy, cô): TẢI XUỐNG
Download Center
Chọn tài liệu bạn muốn tải về














