z Mục lục tài liệu
Nội dung chi tiết

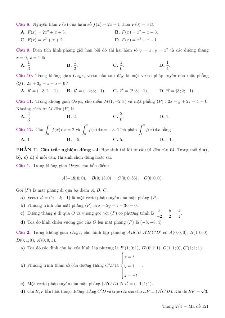
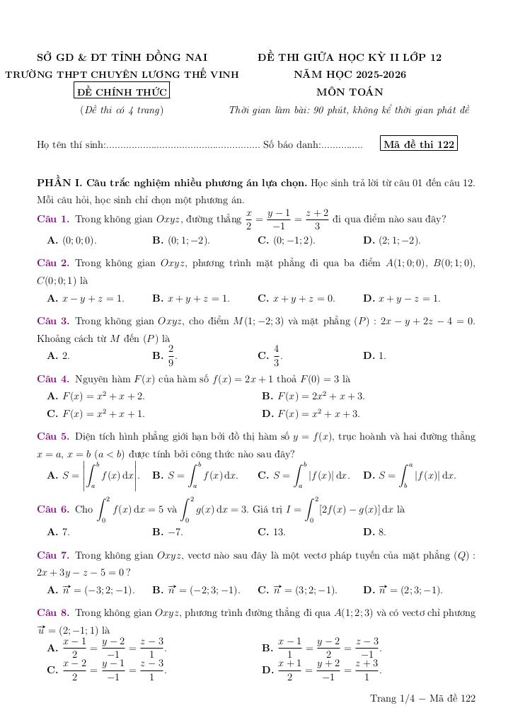
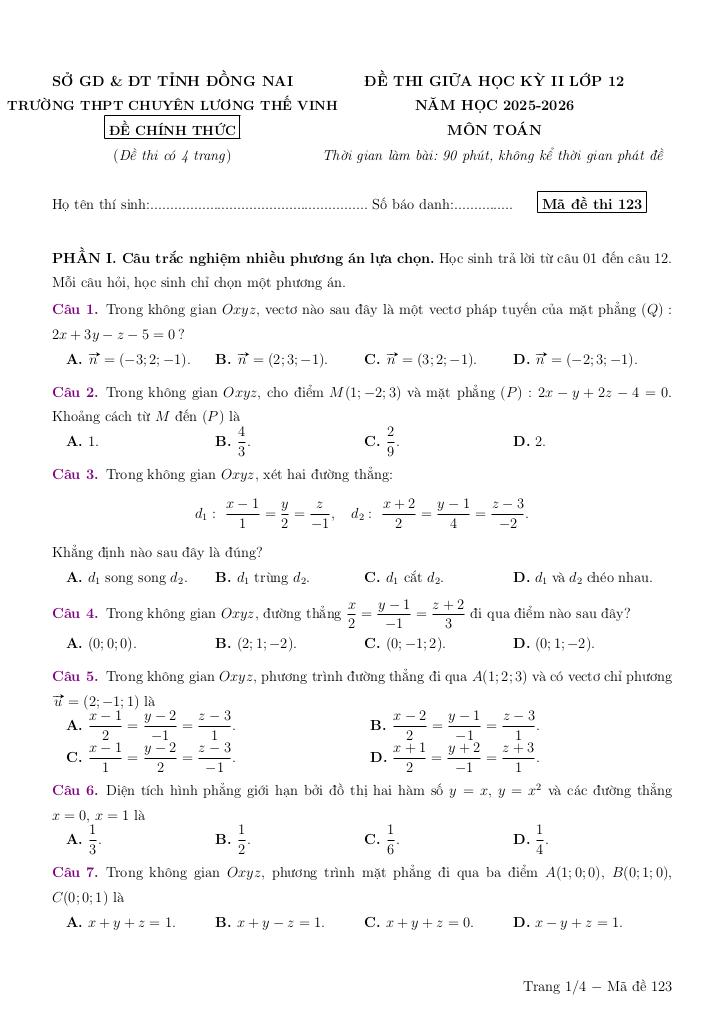
MonToan.com.vn giới thiệu đến quý thầy, cô giáo và các em học sinh đề thi giữa học kỳ 2 môn Toán 12 năm học 2025 – 2026 trường THPT chuyên Lương Thế Vinh, tỉnh Đồng Nai. Đề thi gồm 12 câu trắc nghiệm nhiều phương án lựa chọn (3,0 điểm) + 04 câu trắc nghiệm đúng sai (4,0 điểm) + 06 câu trắc nghiệm trả lời ngắn (3,0 điểm), thời gian làm bài 90 phút, có đáp án và lời giải chi tiết mã đề 121 – 122 – 123 – 124.
Trích dẫn Đề giữa kỳ 2 Toán 12 năm 2025 – 2026 trường chuyên Lương Thế Vinh – Đồng Nai:
+ Trong không gian Oxyz, tính thể tích của một khối lập phương có hai mặt nằm trong hai mặt phẳng có phương trình 3x − 4y + 12z + 3 = 0 và 3x − 4y + 12z − 23 = 0.
+ Thể tích khối tròn xoay tạo thành khi quanh hình phẳng giới hạn bởi các đường sau quanh trục hoành: y = √x − 3, y = 0, x = 9, x = 25 bằng kπ. Giá trị của k bằng bao nhiêu?
+ Tính thể tích của một vật thể có đáy được giới hạn bởi đường tròn x2 + y2 = 144 và mỗi mặt phẳng vuông góc với trục Ox cắt vật thể tạo thành một thiết diện là một hình vuông có một cạnh nằm trên mặt đáy của vật thể.
Download Center
Chọn tài liệu bạn muốn tải về
















