z Mục lục tài liệu
Nội dung chi tiết

MonToan.com.vn giới thiệu đến quý thầy, cô giáo và các em học sinh đề kiểm tra giữa học kỳ 2 môn Toán 7 năm học 2025 – 2026 trường THCS Quế Thuận, xã Quế Sơn Trung, thành phố Đà Nẵng. Đề thi có đáp án và hướng dẫn chấm điểm.
Nội dung Đề giữa kỳ 2 Toán 7 năm 2025 – 2026 trường THCS Quế Thuận – Đà Nẵng:
1 Tỉ lệ thức và đại lượng tỉ lệ.
+ Tỉ lệ thức. Tính chất dãy tỉ số bằng nhau.
+ Đại lượng tỉ lệ thuận. Đại lượng tỉ lệ nghịch.
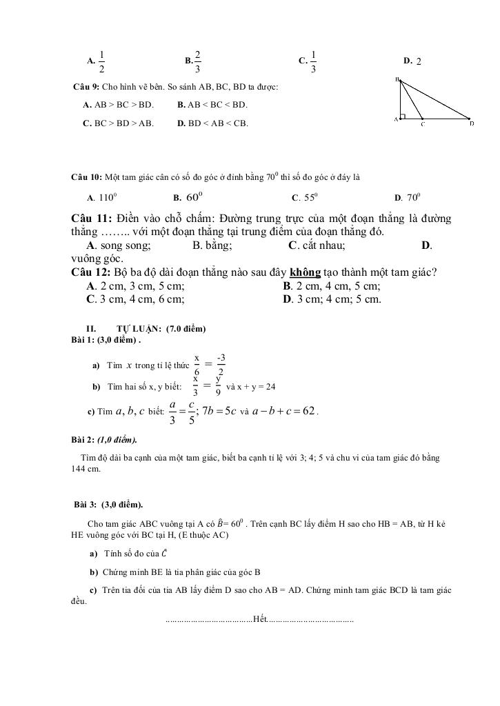
2 Tam giác.
+ Góc và cạnh của một tam giác.
+ Tam giác bằng nhau.
+ Tam giác cân.
+ Đường vuông góc và đường xiên.
+ Đường trung trực của một đoạn thẳng.
+ Các đường đồng quy của tam giác.
File WORD (dành cho quý thầy, cô): TẢI XUỐNG
Download Center
Chọn tài liệu bạn muốn tải về
















