z Mục lục tài liệu
Nội dung chi tiết

1 / 10
Quý thầy cô và học sinh đang tham khảo đề giữa kỳ 2 toán 8 năm 2025 – 2026 trường thcs quế thuận – đà nẵng, bộ đề thi được xây dựng bám sát chuẩn tài liệu toán cập nhật nhất. Cấu trúc đề bảo đảm độ phủ kiến thức đồng đều, mức độ câu hỏi được cân chỉnh từ nhận biết đến vận dụng cao, phù hợp kiểm tra toàn diện năng lực. Hãy khai thác triệt để tài liệu này để đánh giá chính xác trình độ hiện tại và tối ưu chiến lược luyện thi của bạn.
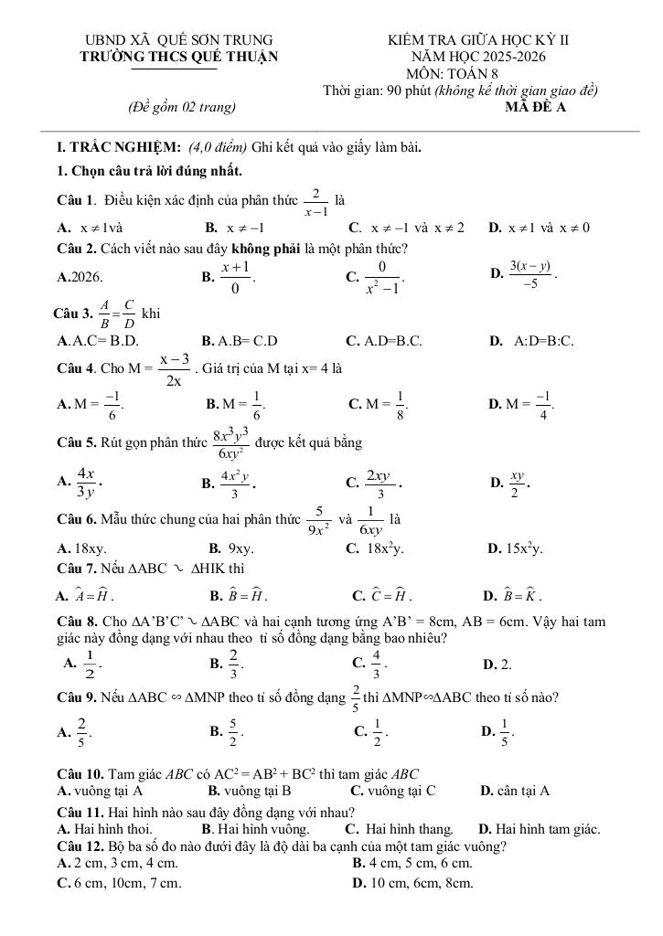
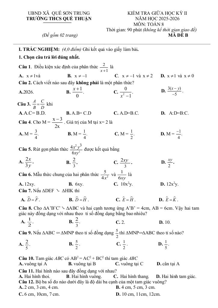
MonToan.com.vn giới thiệu đến quý thầy, cô giáo và các em học sinh đề kiểm tra giữa học kỳ 2 môn Toán 8 năm học 2025 – 2026 trường THCS Quế Thuận, xã Quế Sơn Trung, thành phố Đà Nẵng. Đề thi có đáp án và hướng dẫn chấm điểm.
Nội dung Đề giữa kỳ 2 Toán 8 năm 2025 – 2026 trường THCS Quế Thuận – Đà Nẵng:
1 Phân thức đại số.
+ Phân thức đại số.
+ Tính chất cơ bản của phân thức đại số.
+ Các phép toán cộng, trừ, nhân, chia các phân thức đại số.
2 Tam giác đồng dạng.
+ Tam giác đồng dạng. Hình đồng dạng.
+ Định lí Pythagore và ứng dụng.
File WORD (dành cho quý thầy, cô): TẢI XUỐNG
Bạn đang khám phá nội dung đề giữa kỳ 2 toán 8 năm 2025 – 2026 trường thcs quế thuận – đà nẵng trong chuyên mục vở bài tập toán 8 trên nền tảng tài liệu toán. Được biên soạn chuyên sâu và bám sát chương trình sách giáo khoa hiện hành, bộ bài tập toán thcs này cam kết tối ưu hóa toàn diện quá trình ôn luyện, củng cố kiến thức Toán lớp 8 cho học sinh, thông qua phương pháp tiếp cận trực quan và mang lại hiệu quả học tập vượt trội.
Download Center
Chọn tài liệu bạn muốn tải về
















