z Mục lục tài liệu
Nội dung chi tiết

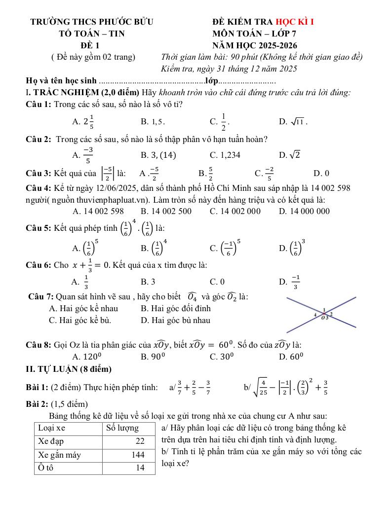
MonToan.com.vn giới thiệu đến quý thầy, cô giáo và các em học sinh đề kiểm tra cuối học kì 1 môn Toán 7 năm học 2025 – 2026 trường THCS Phước Bửu, thành phố Hồ Chí Minh. Đề thi có đáp án và hướng dẫn chấm điểm.
Trích dẫn Đề học kì 1 Toán 7 năm 2025 – 2026 trường THCS Phước Bửu – TP HCM:
+ Bảng thống kê dữ liệu về số loại xe gửi trong nhà xe của chung cư A như sau: a/ Hãy phân loại các dữ liệu có trong bảng thống kê trên dựa trên hai tiêu chí định tính và định lượng. b/ Tính tỉ lệ phần trăm của xe gắn máy so với tổng các loại xe?
+ Mẹ bạn An gửi tiết kiệm 500 triệu đồng vào ngân hàng A với lãi suất là 4,5% một năm. Hết thời hạn 1 năm mẹ bạn An nhận được số tiền lãi là bao nhiêu?
+ Chú Tư gửi tiết kiệm 200 triệu đồng vào ngân hàng B theo thể thức kì hạn 1 năm. Hết thời hạn 1 năm chú Tư nhận được cả vốn lẫn lãi là 209,6 triệu đồng. Tính lãi suất ngân hàng theo thể thức gửi tiết kiệm này.
Download Center
Chọn tài liệu bạn muốn tải về















