z Mục lục tài liệu
Nội dung chi tiết

MonToan.com.vn giới thiệu đến quý thầy, cô giáo và các em học sinh đề kiểm tra cuối học kỳ 1 môn Toán 9 năm học 2025 – 2026 trường TH&THCS Đông Giang, xã Bắc Đông Quan, tỉnh Hưng Yên. Đề thi gồm 26 câu trắc nghiệm nhiều phương án lựa chọn + 02 câu trắc nghiệm đúng sai + 06 câu trắc nghiệm trả lời ngắn, thời gian làm bài 90 phút.
Trích dẫn Đề học kỳ 1 Toán 9 năm 2025 – 2026 trường TH&THCS Đông Giang – Hưng Yên:
+ Một thanh chống dài 2,5m, hợp với tường một góc 40° để chống một tấm nhựa che nắng như hình vẽ. Hỏi khoảng cách từ tường đến vị trí đặt đầu thanh chống trên tấm nhựa là bao nhiêu mét? (Làm tròn đến hàng phần mười của mét).
+ Cho tam giác ABC cân tại A. Vẽ đường tròn tâm O, đường kính BC. Đường tròn (O) cắt AB, AC lần lượt tại I, K. Biết BAC = 40°. Số đo IOK bằng bao nhiêu độ?
+ Xưa kia có một vị tể tướng nổi tiếng thông thái. Đến khi tể tướng muốn cáo quan về quê, nhà vua liền ban thưởng bằng cách đưa cho tể tướng một đoạn dây dài 300 mét và nói: “Ngươi hãy căng sợi dây này thành một hình chữ nhật, sao cho hai đầu dây chạm vào nhau. Khi đó, mảnh đất hình chữ nhật sẽ thuộc về ngươi”. Tể tướng đã căng sợi dây để mảnh đất có diện tích lớn nhất. Diện tích lớn nhất đó là bao nhiêu mét vuông?
Download Center
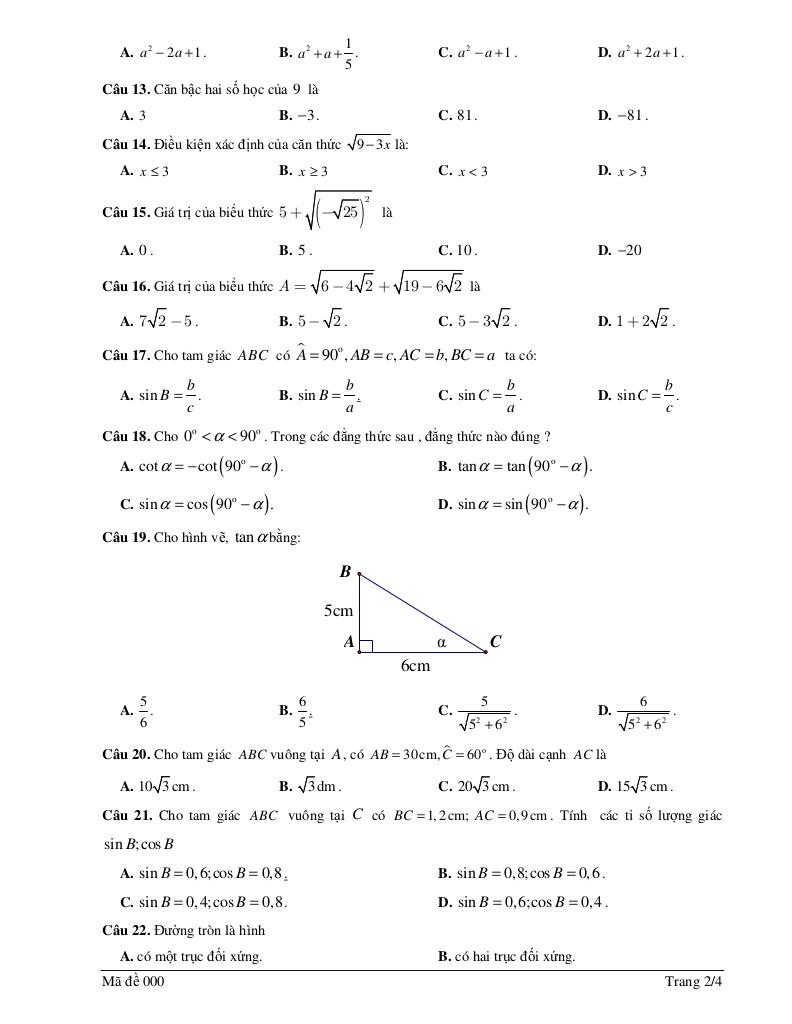
Chọn tài liệu bạn muốn tải về










