z Mục lục tài liệu
Nội dung chi tiết

MonToan.com.vn giới thiệu đến quý thầy, cô giáo và các em học sinh đề thi khảo sát chất lượng học sinh môn Toán 9 năm học 2025 – 2026 sở Giáo dục và Đào tạo tỉnh Hà Tĩnh. Đề thi hình thức 20% trắc nghiệm (08 câu) + 80% tự luận (06 câu), thời gian làm bài 90 phút, có đáp án và lời giải chi tiết. Kỳ thi được diễn ra vào ngày 15 tháng 04 năm 2026.
Trích dẫn Đề khảo sát chất lượng Toán 9 năm 2025 – 2026 sở GD&ĐT Hà Tĩnh:
+ Một hộp có chứa 5 tấm thẻ cùng loại được đánh số lần lượt từ 1 đến 5. Lấy ngẫu nhiên cùng một lúc 2 tấm thẻ từ hộp. Viết không gian mẫu của phép thử và tính xác suất của biến cố A: “Tổng hai số đánh trên hai thẻ là một số lẻ”.
+ Bác Hùng có một mảnh đất hình chữ nhật có chiều rộng là 8m và chiều dài là 20m. Nhà nước làm một con đường đi qua mảnh đất của Bác Hùng nên đã thu hồi một phần đất, phần đất thu hồi là hình tam giác (tham khảo hình vẽ). Biết BC = 2DE và mỗi m² đất bị thu hồi được đền bù 13 triệu đồng nên Bác Hùng nhận được số tiền đền bù là 455 triệu đồng. Bác Hùng dự tính xây tường rào ngăn phần đất bị thu hồi và phần đất còn lại từ C đến D. Hãy tính độ dài đoạn CD.
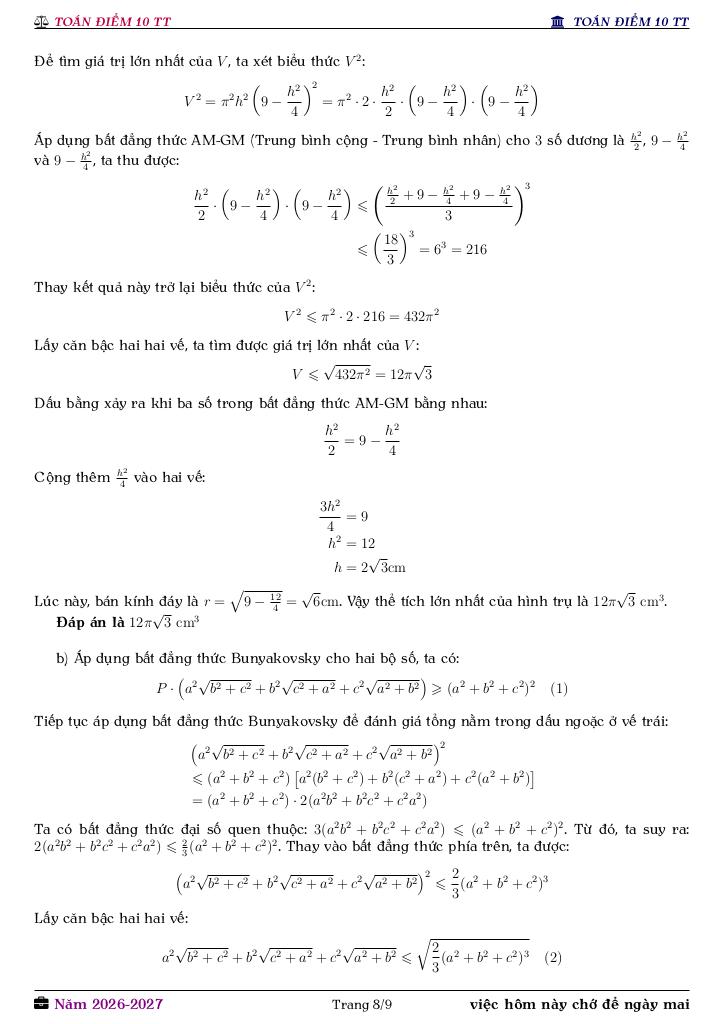
+ Một nghệ nhân kim hoàn nhận chế tác một viên đá quý hiếm có hình dạng khối cầu hoàn hảo với bán kính R = 3cm. Khách yêu cầu nghệ nhân mài viên đá này thành một hình trụ (có các đường tròn đáy nằm trên mặt cầu) để làm mặt dây chuyền (tham khảo hình vẽ). Hãy tính thể tích lớn nhất của hình trụ mà nghệ nhân kim hoàn chế tác được.
Download Center
Chọn tài liệu bạn muốn tải về
















