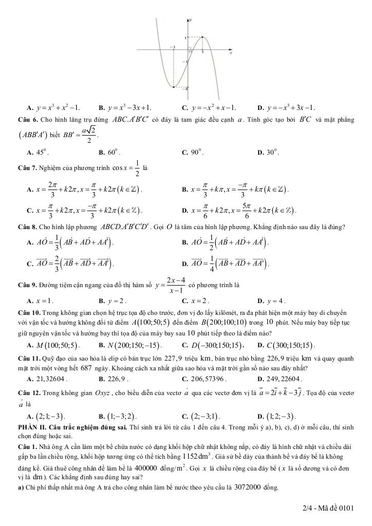
z Mục lục tài liệu
Nội dung chi tiết

MonToan.com.vn giới thiệu đến quý thầy, cô giáo và các em học sinh đề khảo sát chất lượng lần 1 môn Toán 12 năm học 2025 – 2026 cụm trường THPT Quế Võ 1 – Thuận Thành 1 – Lê Văn Thịnh, tỉnh Bắc Ninh. Đề thi có đáp án mã đề 0101 0102 0103 0104 0105 0106 0107 0108 0109 0110 0111 0112.
Trích dẫn Đề khảo sát lần 1 Toán 12 năm 2025 – 2026 cụm trường THPT QV1-TT1-LVT – Bắc Ninh:
+ Trong một phòng thí nghiệm, số lượng của một vi khuẩn X được biểu diễn theo công thức S(t) = A.e^rt, trong đó A là số lượng vi khuẩn tại thời điểm chọn mốc thời gian, r là tỉ lệ tăng trưởng (r /> 0), t là thời gian tăng trưởng (tính theo đơn vị là giờ). Lúc 0 giờ sáng, số lượng vi khuẩn X là 150 con. Sau 3 giờ số lượng vi khuẩn X là 450 con. Cùng thời điểm 0 giờ, người ta đo được số lượng vi khuẩn Y là 300 con. Biết rằng số lượng vi khuẩn Y tăng 5% mỗi giờ. Hỏi vào lúc mấy giờ, số lượng vi khuẩn X bằng số lượng vi khuẩn Y. (kết quả làm tròn đến hàng phần trăm).
+ Một kiến trúc sư muốn xây dựng 1 tòa nhà biểu tượng độc lạ cho thành phố. Trên bản thiết kế tòa nhà có hình dạng là một khối lăng trụ tam giác đều, có cạnh bên bằng cạnh đáy và dài 306 mét (tham khảo hình vẽ). Kiến trúc sư muốn xây dựng một cây cầu MN bắc xuyên tòa nhà (điểm đầu thuộc cạnh A’C, điểm cuối thuộc cạnh BC’) và cây cầu này sẽ được dát vàng với đơn giá 5 tỷ đồng trên 1 mét dài. Vì vậy để đáp ứng bài toán kinh tế, kiến trúc sư phải chọn vị trí cây cầu sao cho MN ngắn nhất. Khi đó giá xây cây cầu này hết bao nhiêu tỷ đồng?
+ Từ một tấm bìa mỏng hình lục giác đều cạnh 4√3 dm, bạn An cắt bỏ sáu tam giác cân bằng nhau có cạnh đáy là cạnh của hình lục giác đều ban đầu và đỉnh là đỉnh của một hình lục giác đều nhỏ phía trong rồi gấp lên, ghép lại tạo thành một khối chóp lục giác đều (Hình vẽ). Thể tích của khối chóp có giá trị lớn nhất bằng a√b/c dm3 với a/c là phân số tối giản và b < 20. Tính a + 2b + 3c.
Download Center
Chọn tài liệu bạn muốn tải về















