z Mục lục tài liệu
Nội dung chi tiết

MonToan.com.vn giới thiệu đến quý thầy, cô giáo và các em học sinh đề khảo sát chất lượng môn Toán 10 năm học 2025 – 2026 trường THPT Nhã Nam, tỉnh Bắc Ninh. Kỳ thi được diễn ra vào ngày 05 tháng 04 năm 2026. Đề thi có đáp án mã đề 1001 – 1002.
Trích dẫn Đề khảo sát Toán 10 năm 2025 – 2026 trường THPT Nhã Nam – Bắc Ninh:
+ Đề làm một mái tôn người ta dùng các thanh sắt để hàn thành các vì kèo (hình 1). Mỗi vì kèo như vậy có độ dài AB = 6m, chiều cao HK = 1m và đường cong AKB là một phần của Parabol nhận HK làm trục đối xứng (Hình 2). Để đảm bảo độ cong và độ chịu lực, người ta gia cố thêm các thanh thẳng đứng 1, 2, 3, 4, 5 chia thanh AB thành các khoảng bằng nhau. Tổng độ dài của 5 thanh 1, 2, 3, 4, 5 trên bằng bao nhiêu mét? (Kết quả làm tròn đến hàng phần trăm).
+ Bác An muốn mua một mảnh đất. Người bán cung cấp cho bác bản vẽ mảnh đất hình tứ giác ABCD với các thông tin như hình vẽ dưới đây và báo giá 10 triệu đồng một mét vuông. Hỏi nếu mua thì bác An phải trả bao nhiêu triệu đồng? (Kết quả làm tròn đến hàng đơn vị).
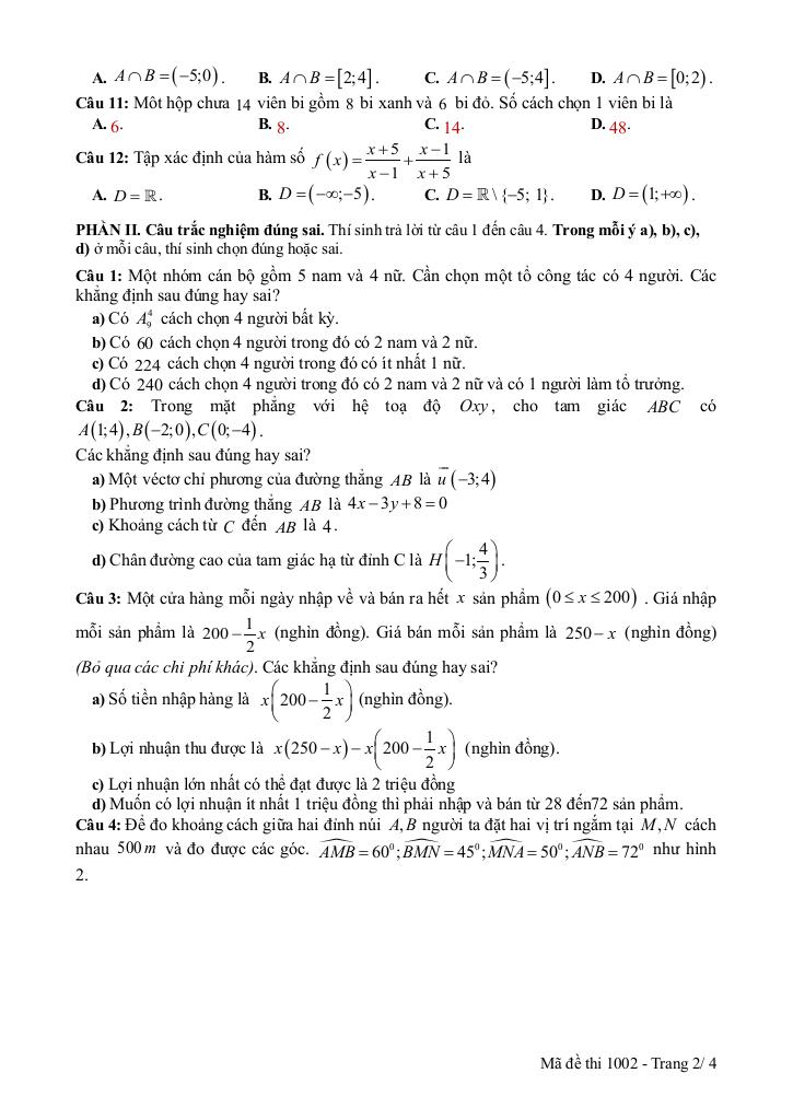
+ Một cụm dân cư có 7 hộ gia đình cần di dời để giải phóng mặt bằng cho Dự án Sân bay Quốc tế Gia Bình. Các gia đình trên được đền bù mỗi hộ một suất đất ngẫu nhiên trong một dãy phố có 7 suất thuộc khu tái định cư. Trong số các gia đình trên có hai hộ là anh em ruột. Hỏi có bao nhiêu cách để hai anh em đó được nhận hai suất đất liền nhau?
File WORD (dành cho quý thầy, cô): TẢI XUỐNG
Download Center
Chọn tài liệu bạn muốn tải về
















