z Mục lục tài liệu
Nội dung chi tiết

1 / 10
Quý thầy cô và học sinh đang tham khảo đề kiểm tra theo bài học chủ đề mệnh đề và tập hợp, bộ đề thi được xây dựng bám sát chuẩn đề thi toán cập nhật nhất. Cấu trúc đề bảo đảm độ phủ kiến thức đồng đều, mức độ câu hỏi được cân chỉnh từ nhận biết đến vận dụng cao, phù hợp kiểm tra toàn diện năng lực. Hãy khai thác triệt để tài liệu này để đánh giá chính xác trình độ hiện tại và tối ưu chiến lược luyện thi của bạn.
Tài liệu gồm 60 trang, được biên soạn bởi thầy giáo Huỳnh Văn Ánh, tuyển tập bộ đề kiểm tra theo bài học chủ đề mệnh đề và tập hợp môn Toán 10, có đáp án và lời giải chi tiết.
Cấu trúc đề kiểm tra:
+ Phần 1. Câu trắc nghiệm nhiều phương án lựa chọn (12 câu).
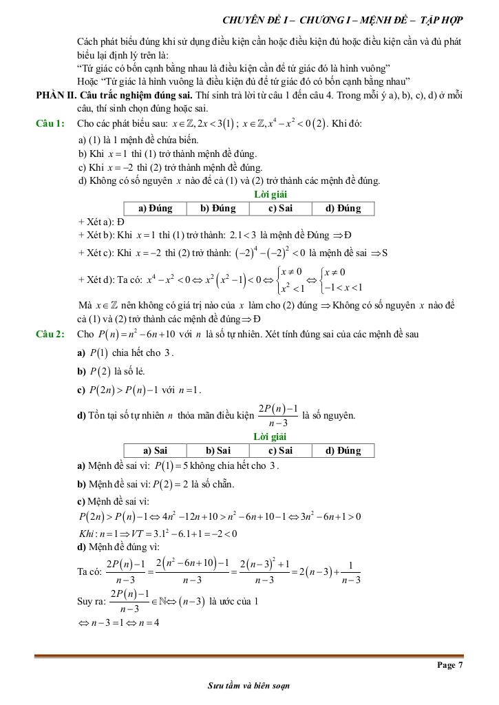
+ Phần 2. Câu trắc nghiệm đúng sai (04 câu).
+ Phần 3. Câu trắc nghiệm trả lời ngắn (06 câu).
Danh sách đề kiểm tra:
+ Bài 1. Mệnh đề – Đề số 1.
+ Bài 1. Mệnh đề – Đề số 2.
+ Bài 2. Tập hợp và các phép toán trên tập hợp – Đề số 1.
+ Bài 2. Tập hợp và các phép toán trên tập hợp – Đề số 2.
+ Bài tập cuối chương I – Đề số 1.
+ Bài tập cuối chương I – Đề số 2.
Bạn đang khám phá nội dung đề kiểm tra theo bài học chủ đề mệnh đề và tập hợp trong chuyên mục bài tập toán 10 trên nền tảng đề thi toán. Được biên soạn chuyên sâu và bám sát chặt chẽ chương trình sách giáo khoa hiện hành, bộ bài tập toán trung học phổ thông này cam kết tối ưu hóa toàn diện quá trình ôn luyện, củng cố kiến thức Toán lớp 10 cho học sinh THPT, thông qua phương pháp tiếp cận trực quan và mang lại hiệu quả học tập vượt trội, tạo nền tảng vững chắc cho các cấp học cao hơn.
Download Center
Chọn tài liệu bạn muốn tải về
















