z Mục lục tài liệu
Nội dung chi tiết

MonToan.com.vn giới thiệu đến quý thầy, cô giáo và các em học sinh đề kiểm tra chất lượng đội tuyển môn Toán năm học 2025 – 2026 trường THPT Thọ Xuân 5, tỉnh Thanh Hóa. Đề thi gồm 20 câu trắc nghiệm nhiều phương án lựa chọn + 06 câu trắc nghiệm đúng sai + 06 câu trắc nghiệm trả lời ngắn, thời gian làm bài 90 phút, có đáp án và lời giải chi tiết.
Trích dẫn Đề KTCL đội tuyển Toán năm 2025 – 2026 trường THPT Thọ Xuân 5 – Thanh Hóa:
+ Một thùng chứa nhiên liệu gồm phần ở giữa là một hình trụ có chiều dài h mét (h /> 0) và hai đầu là các nửa hình cầu bán kính r (r /> 0) (Hình vẽ). Biết rằng thể tích của thùng chứa là 144000π m3. Để sơn mặt ngoài của phần hình cầu cần 20000 đồng cho 1m2, còn sơn mặt ngoài cho phần hình trụ cần 10000 đồng cho 1m2. Để chi phí cho việc sơn diện tích mặt ngoài thùng chứa (bao gồm diện tích xung quanh hình trụ và diện tích hai nửa hình cầu) là nhỏ nhất thì r bằng bao nhiêu (kết quả làm tròn đến hàng phần chục của đơn vị mét), biết rằng bán kính r không được vượt quá 50m?
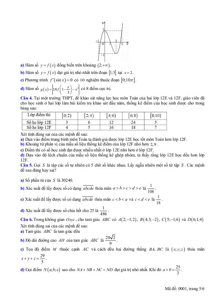
+ Tại một trường THPT, để khảo sát năng lực học môn Toán của hai lớp 12E và 12F, giáo viên đã cho học sinh ở hai lớp làm bài kiểm tra khảo sát đầu năm, thống kê điểm của học sinh được cho trong bảng sau: Xét tính đúng sai của các mệnh đề sau: a) Dựa vào điểm trung bình môn Toán ta đánh giá được lớp 12E học tốt môn Toán hơn lớp 12F. b) Khoảng tứ phân vị của mẫu số liệu thống kê điểm của lớp 12F nhỏ hơn 2,9. c) Điểm thi có số học sinh đạt được nhiều nhất ở lớp 12E nhỏ hơn ở lớp 12F. d) Dựa vào độ lệch chuẩn của mẫu số liệu thống kê ghép nhóm, ta thấy rằng lớp 12E học đều hơn lớp 12F.
+ Có hai vợ chồng đã nghĩ ra một trò chơi đầy trí tuệ như sau: Họ sử dụng hai ly nước giống hệt nhau, mỗi ly chứa tối đa 240 ml nước. Ban đầu, người vợ có một ly nước đầy và người chồng có một cái ly rỗng. Bước thứ nhất người vợ rót 1/2 lượng nước trong ly của mình sang ly của người chồng; bước tiếp theo người chồng lại rót 1/3 lượng nước trong ly của mình sang cho ly người vợ. Quá trình này cứ tiếp tục mà mỗi lần rót thì mẫu số được cộng thêm 1; trò chơi này hấp dẫn đến mức cả hai người thực hiện đến bước thứ 100 thì dừng lại, hỏi lượng nước trong ly người chồng khi đó là bao nhiêu ml? (Làm tròn kết quả đến hàng đơn vị, giả sử trong quá trình rót nước không có giọt nước nào tràn ra ngoài).
File WORD (dành cho quý thầy, cô): TẢI XUỐNG
Download Center
Chọn tài liệu bạn muốn tải về
















