z Mục lục tài liệu
Nội dung chi tiết

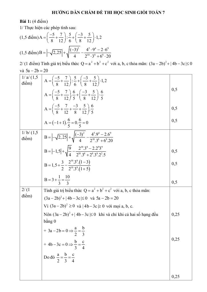
MonToan.com.vn giới thiệu đến quý thầy, cô giáo và các em học sinh đề thi giao lưu Olympic môn Toán 7 năm học 2025 – 2026 cụm trường THCS, thành phố Hà Nội. Đề thi có đáp án, lời giải chi tiết và hướng dẫn chấm điểm.
Trích dẫn Đề thi giao lưu Olympic Toán 7 năm 2025 – 2026 cụm trường THCS – Hà Nội:
+ Trong một nhà máy, có 3 con robot tự hành mang mã hiệu R1, R2 và R3 đang thực hiện nhiệm vụ vận chuyển hàng hóa. Kỹ sư vận hành ghi nhận được các thông số sau: – Tổng vận tốc di chuyển trung bình của cả 3 robot là 1,7 m/s. – Trong cùng một đợt thử nghiệm, quãng đường đi được của R1, R2 tỉ lệ với 4, 5; quãng đường đi được của R2, R3 tỉ lệ với 5, 6. – Thời gian để hoàn thành quãng đường nói trên của R1, R2, R3 lần lượt tỉ lệ với 1, 2, 3. Tính vận tốc di chuyển của từng robot?
+ Cho ∆ABC nhọn và điểm D thuộc cạnh BC (D khác B và C). Qua A kẻ đường thẳng xy song song với BC. Qua D kẻ đường thẳng song song với AB cắt AC và xy lần lượt tại M và E. Qua D kẻ đường thẳng song song với AC cắt AB và xy lần lượt tại N và F. a/ Chứng minh rằng AE = BD và EF = BC. b/ Chứng minh rằng ba đường thẳng AD; BE; CF cùng đi qua một điểm. c/ Chứng minh rằng MF // CN.
+ Một khối gỗ hình lăng trụ đứng tứ giác có đáy là hình chữ nhật có kích thước là 6 dm, 5 dm và chiều cao 7 dm. Người ta khoét từ đáy một cái lỗ hình lăng trụ đứng tam giác, đáy là một tam giác vuông có hai cạnh góc vuông là 3 dm, 4 dm và cạnh huyền là 5 dm (Hình vẽ). Người ta cần sơn toàn bộ các mặt của khối gỗ, tính diện tích bề mặt phải sơn.
File WORD (dành cho quý thầy, cô): TẢI XUỐNG
Download Center
Chọn tài liệu bạn muốn tải về














