z Mục lục tài liệu
Nội dung chi tiết

MonToan.com.vn giới thiệu đến quý thầy, cô giáo và các em học sinh đề thi chọn học sinh giỏi môn Toán 10 năm học 2025 – 2026 trường THPT Quảng Trị, tỉnh Quảng Trị. Đề thi có đáp án, lời giải chi tiết và hướng dẫn chấm điểm.
Trích dẫn Đề thi học sinh giỏi Toán 10 năm 2025 – 2026 trường THPT Quảng Trị – Quảng Trị:
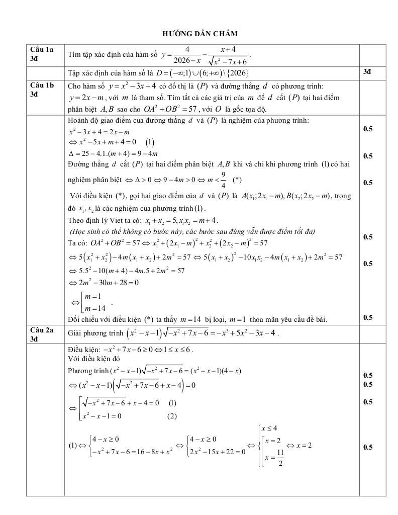
+ Cho hàm số y = x2 – 3x + 4 có đồ thị là (P) và đường thẳng d có phương trình: y = 2x – m với m là tham số. Tìm tất cả các giá trị của m để d cắt (P) tại hai điểm phân biệt A, B sao cho OA2 + OB2 = 57, với O là gốc tọa độ.
+ Trong năm 2026, một cửa hàng kinh doanh xe máy dự định kinh doanh hai loại xe máy Lead và xe máy Vision, với tổng số vốn ban đầu không vượt quá 36 tỉ đồng. Giá nhập về 1 chiếc xe máy Lead là 40 triệu đồng, lợi nhuận dự kiến là 5 triệu đồng một chiếc. Giá nhập về 1 chiếc xe máy Vision là 30 triệu đồng, lợi nhuận dự kiến là 3,2 triệu đồng một chiếc. Cửa hàng ước tính rằng tổng nhu cầu thị trường không vượt quá 1100 chiếc xe cả hai loại và nhu cầu xe Lead không vượt quá 1,5 lần nhu cầu xe Vision. Hỏi lợi nhuận có thể thu được lớn nhất của cửa hàng là bao nhiêu tiền?
+ Có bao nhiêu số tự nhiên có 3 chữ số dạng abc thỏa mãn a; b; c là độ dài ba cạnh của một tam giác cân (kể cả tam giác đều)?
Download Center
Chọn tài liệu bạn muốn tải về












