z Mục lục tài liệu
Nội dung chi tiết

MonToan.com.vn giới thiệu đến quý thầy, cô giáo và các em học sinh đề thi chọn học sinh giỏi văn hóa môn Toán 12 năm học 2025 – 2026 cụm chuyên môn số 3, tỉnh Bắc Ninh. Đề thi gồm 30 câu trắc nghiệm nhiều phương án lựa chọn (7,5 điểm) + 08 câu trắc nghiệm đúng sai (8,0 điểm) + 06 câu trắc nghiệm trả lời ngắn (4,5 điểm), thời gian làm bài 120 phút.
Trích dẫn Đề thi HSG Toán 12 năm 2025 – 2026 cụm chuyên môn số 3 – Bắc Ninh:
+ Trong một trò chơi bạn Việt có 9 tấm bia được đánh số từ 1 đến 9, bạn Nam có 8 tấm bia được đánh số từ 1 đến 8, mỗi bạn chọn ra ba tấm bìa rồi sắp xếp chúng theo thứ tự giảm dần để được một số gồm ba chữ số. Người thắng cuộc là người có số lớn hơn. Tính xác suất để Việt thắng Nam (Kết quả là tròn đến hàng phần trăm).
+ Khi khắc phục hậu quả của thiên tai, bão lũ, một trong những giải pháp nhằm tiếp tế hàng cứu trợ đến những nơi khó tiếp cận là sử dụng flycam để xác định vị trí chính xác của người cần cứu trợ, sau đó sử dụng drone để vận chuyển các vật dụng thiết yếu thả xuống cho người này, giúp họ có thể cầm cự trong khi chờ đợi lực lượng cứu hộ đến nơi. Hai chiếc drone làm nhiệm vụ chuyển hàng cứu trợ bay lên từ cùng một địa điểm. Chiếc thứ nhất bay đến điểm cách điểm xuất phát 2,5km về phía nam và 1,5km về phía đông, đồng thời cách mặt đất 60m. Chiếc thứ hai bay đến điểm cách điểm xuất phát 3km về phía bắc và 2,5km về phía tây, đồng thời cách mặt đất 40m. Trong không gian, xét hệ tọa độ Oxyz với gốc tọa độ O đặt tại điểm xuất phát của hai drone, mặt phẳng (Oxy) trùng với mặt đất (được coi là phẳng). Giả sử trong trường hợp khẩn cấp, cần tìm một vị trí trên mặt đất để tiếp nhiên liệu và các vật dụng cứu trợ cho hai drone sao cho tổng khoảng cách từ vị trí tiếp nhiên liệu đó tới hai drone nhỏ nhất. Vị trí cần tìm cách gốc tọa độ a km theo hướng bắc và b km theo hướng tây. Khi đó a + b bằng bao nhiêu?
+ Có một cốc thủy tinh hình trụ, bán kính trong lòng đáy cốc là 8 cm, chiều cao trong lòng cốc là 14 cm đang đựng một lượng nước. Tính thể tích lượng nước trong cốc bằng bao nhiêu 3 cm, biết khi nghiêng cốc nước vừa lúc khi nước chạm miệng cốc thì ở đáy mực nước trùng với đường kính đáy (Kết quả làm tròn đến hàng đơn vị).
File WORD (dành cho quý thầy, cô): TẢI XUỐNG
Download Center
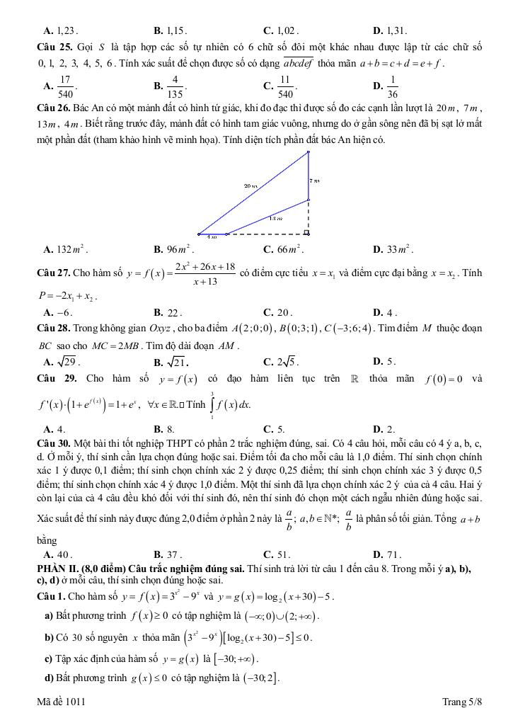
Chọn tài liệu bạn muốn tải về














