z Mục lục tài liệu
Nội dung chi tiết

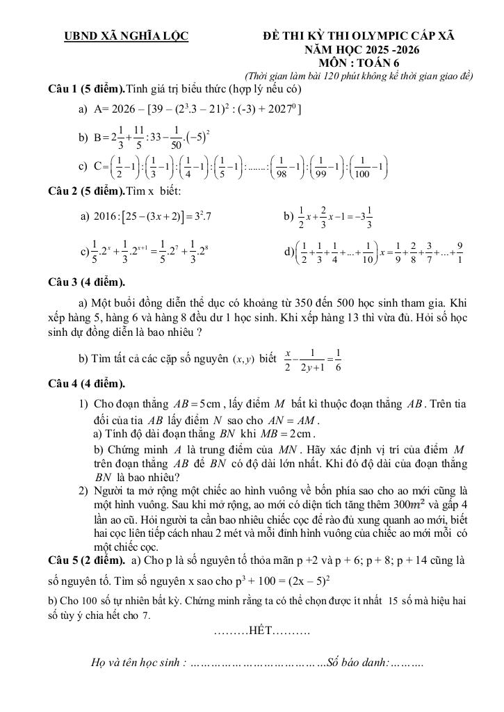
MonToan.com.vn giới thiệu đến quý thầy, cô giáo và các em học sinh đề thi Olympic cấp xã môn Toán 6 năm học 2025 – 2026 xã Nghĩa Lộc, tỉnh Nghệ An. Đề thi có đáp án, lời giải chi tiết và hướng dẫn chấm điểm.
Trích dẫn Đề thi Olympic cấp xã Toán 6 năm 2025 – 2026 xã Nghĩa Lộc – Nghệ An:
+ Một buổi đồng diễn thể dục có khoảng từ 350 đến 500 học sinh tham gia. Khi xếp hàng 5, hàng 6 và hàng 8 đều dư 1 học sinh. Khi xếp hàng 13 thì vừa đủ. Hỏi số học sinh dự đồng diễn là bao nhiêu?
+ Cho đoạn thẳng AB = 5cm, lấy điểm M bất kì thuộc đoạn thẳng AB. Trên tia đối của tia AB lấy điểm N sao cho AN = AM. a) Tính độ dài đoạn thẳng BN khi MB = 2cm. b) Chứng minh A là trung điểm của MN. Hãy xác định vị trí của điểm M trên đoạn thẳng AB để BN có độ dài lớn nhất. Khi đó độ dài của đoạn thẳng BN là bao nhiêu?
+ Người ta mở rộng một chiếc ao hình vuông về bốn phía sao cho ao mới cũng là một hình vuông. Sau khi mở rộng, ao mới có diện tích tăng thêm 300 và gấp 4 lần ao cũ. Hỏi người ta cần bao nhiêu chiếc cọc để rào đủ xung quanh ao mới, biết hai cọc liên tiếp cách nhau 2 mét và mỗi đỉnh hình vuông của chiếc ao mới mỗi có một chiếc cọc.
File WORD (dành cho quý thầy, cô): TẢI XUỐNG
Download Center
Chọn tài liệu bạn muốn tải về












