z Mục lục tài liệu
Nội dung chi tiết

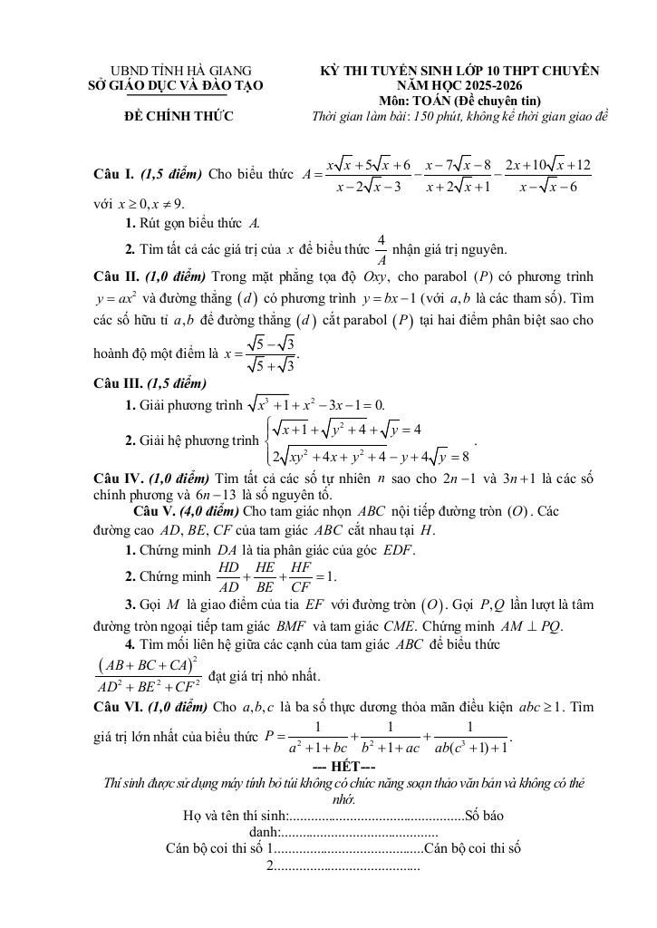
MonToan.com.vn giới thiệu đến quý thầy, cô giáo và các em học sinh đề chính thức kỳ thi tuyển sinh vào lớp 10 THPT chuyên môn Toán (chuyên) năm học 2025 – 2026 sở Giáo dục và Đào tạo tỉnh Hà Giang. Đề thi có đáp án và lời giải chi tiết.
Trích dẫn Đề tuyển sinh lớp 10 môn Toán (chuyên) năm 2025 – 2026 sở GD&ĐT Hà Giang:
+ Trong mặt phẳng tọa độ Oxy, cho parabol (P) có phương trình y = ax2 và đường thẳng (d) có phương trình y = bx − 1 (với a, b là các tham số). Tìm các số hữu tỉ a, b để đường thẳng (d) cắt parabol (P) tại hai điểm phân biệt sao cho hoành độ một điểm là x = (√5 – √3)/(√5 + √3).
+ Tìm tất cả các số tự nhiên n sao cho 2n − 1 và 3n + 1 là các số chính phương và 6n − 13 là số nguyên tố.
+ Cho tam giác nhọn ABC nội tiếp đường tròn (O). Các đường cao AD, BE, CF của tam giác ABC cắt nhau tại H. 1. Chứng minh DA là tia phân giác của góc EDF. 2. Chứng minh HD/AD + HE/BE + HF/CF = 1. 3. Gọi M là giao điểm của tia EF với đường tròn (O). Gọi P, Q lần lượt là tâm đường tròn ngoại tiếp tam giác BMF và tam giác CME. Chứng minh AM ⊥ PQ. 4. Tìm mối liên hệ giữa các cạnh của tam giác ABC để biểu thức (AB + BC + CA)^2/(AD2 + BE2 + CF2) đạt giá trị nhỏ nhất.
File WORD (dành cho quý thầy, cô): TẢI XUỐNG
Download Center
Chọn tài liệu bạn muốn tải về












