z Mục lục tài liệu
Nội dung chi tiết

MonToan.com.vn giới thiệu đến quý thầy, cô giáo và các em học sinh đề cương hướng dẫn nội dung ôn tập giữa học kì 2 môn Toán 10 năm học 2025 – 2026 trường THPT Trần Phú – Hoàn Kiếm, thành phố Hà Nội.
PHẦN I. NỘI DUNG ÔN TẬP.
1. Đại số tổ hợp.
– Quy tắc cộng. Quy tắc nhân. Sơ đồ hình cây.
– Hoán vị. Chỉnh hợp. Tổ hợp.
– Nhị thức Newton.
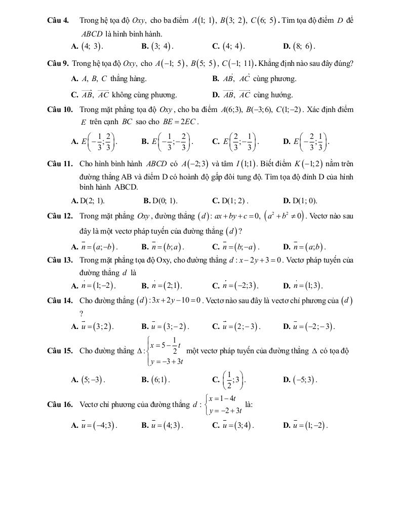
2. Phương pháp tọa độ trong mặt phẳng.
– Tọa độ của một vectơ.
– Biểu thức tọa độ của các phép toán vectơ.
– Phương trình đường thẳng.
– Vị trí tương đối và góc giữa hai đường thẳng. Khoảng cách từ một điểm tới một đường thẳng.
PHẦN II. HÌNH THỨC, CẤU TRÚC ĐỀ KIỂM TRA.
Đề bao gồm 4 phần:
– Phần I. Câu hỏi trắc nghiệm nhiều phương án lựa chọn (mỗi câu có 4 đáp án A, B, C, D và chỉ có 1 đáp án đúng). Phần này có 12 câu (từ câu 1 đến câu 12), mỗi câu trả lời đúng được 0,25 điểm.
– Phần II. Câu hỏi trắc nghiệm lựa chọn đúng/sai (mỗi câu có 4 ý hỏi a), b), c), d) và trong các ý đó hoặc đúng, hoặc sai). Phần này có 2 câu (từ câu 1 đến câu 2), mỗi câu trả lời đúng cả 4 ý được 1,0 điểm.
– Phần III. Câu hỏi trắc nghiệm trả lời ngắn. Phần này có 4 câu (từ câu 1 đến câu 4), mỗi câu trả lời đúng được 0,5 điểm.
– Phần IV. Câu hỏi tự luận. Phần này sẽ có 6 ý hỏi (hay 6 câu hỏi). Mỗi ý hỏi (hay mỗi câu hỏi) làm đúng sẽ được 0,5 điểm.
Lưu ý:
– Phần I, Phần II và Phần III học sinh sẽ trả lời vào phiếu trả lời trắc nghiệm do nhà trường phát.
– Phần IV học sinh sẽ trình bày lời giải vào giấy kiểm tra do nhà trường phát.
PHẦN III. THỜI GIAN LÀM BÀI: 90 phút.
PHẦN IV. CÁC BÀI TẬP LUYỆN TẬP.
Download Center
Chọn tài liệu bạn muốn tải về
















