z Mục lục tài liệu
Nội dung chi tiết

1 / 10
Quý thầy cô và học sinh đang tham khảo ôn tập học kỳ 2 toán 6 năm 2025 – 2026 trường thcs thành công – hà nội, bộ đề thi được xây dựng bám sát chuẩn toán math cập nhật nhất. Cấu trúc đề bảo đảm độ phủ kiến thức đồng đều, mức độ câu hỏi được cân chỉnh từ nhận biết đến vận dụng cao, phù hợp kiểm tra toàn diện năng lực. Hãy khai thác triệt để tài liệu này để đánh giá chính xác trình độ hiện tại và tối ưu chiến lược luyện thi của bạn.
MonToan.com.vn giới thiệu đến quý thầy, cô giáo và các em học sinh đề cương hướng dẫn ôn tập cuối học kỳ 2 môn Toán 6 năm học 2025 – 2026 trường THCS Thành Công, phường Giảng Võ, thành phố Hà Nội.
I. NỘI DUNG KIẾN THỨC
1. Số học: Chương VI – Phân số + Chương VII – Số thập phân.
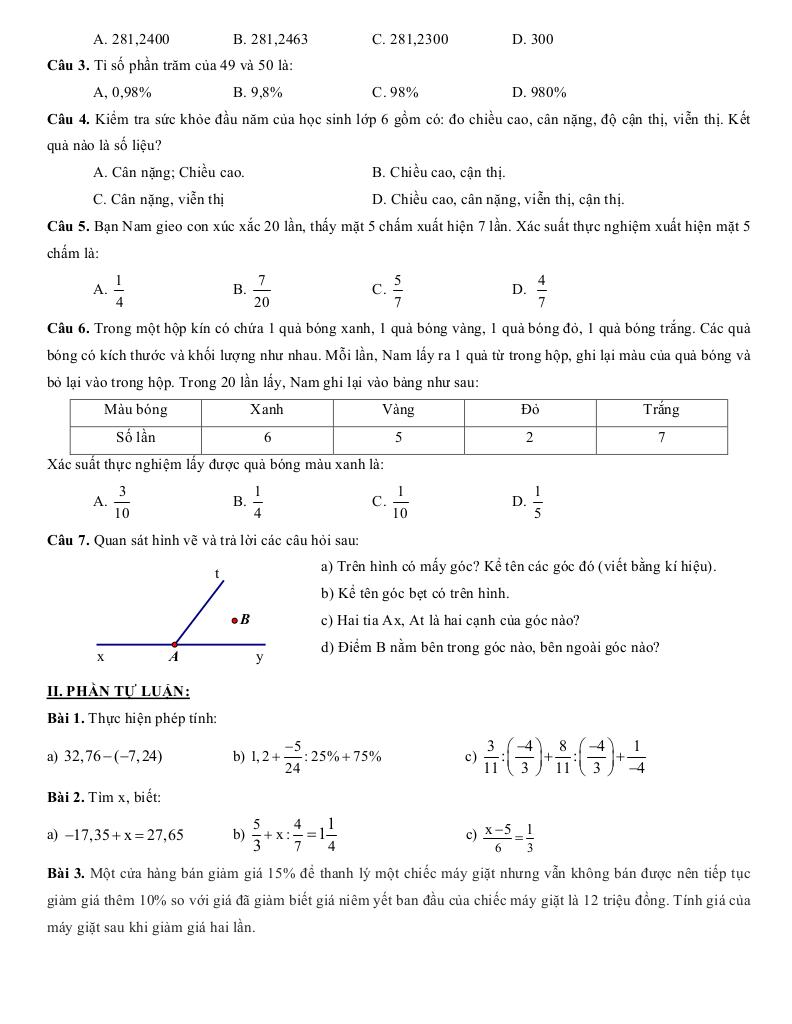
2. Hình học: Chương VIII – Những hình hình học cơ bản.
3. Xác suất – Thống kê: Chương IX – Dữ liệu và xác suất thực nghiệm.
II. BÀI TẬP THAM KHẢO
Bạn đang tiếp cận nội dung ôn tập học kỳ 2 toán 6 năm 2025 – 2026 trường thcs thành công – hà nội thuộc chuyên mục giải bài toán lớp 6 trên nền tảng toán math. Bộ bài tập toán trung học cơ sở này được biên soạn chuyên sâu và bám sát chặt chẽ khung chương trình sách giáo khoa hiện hành, nhằm tối ưu hóa toàn diện quá trình ôn luyện, củng cố kiến thức Toán lớp 6 cho học sinh thông qua phương pháp tiếp cận trực quan và mang lại hiệu quả vượt trội.
Download Center
Chọn tài liệu bạn muốn tải về
















