z Mục lục tài liệu
Nội dung chi tiết

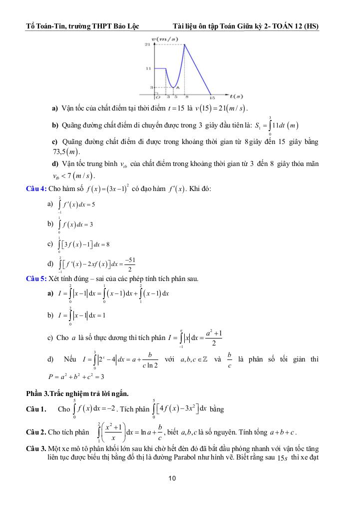
1 / 10
Quý thầy cô và học sinh đang tham khảo ôn tập toán 12 giữa kỳ 2 năm 2025 – 2026 trường thpt bảo lộc – lâm đồng, bộ đề thi được xây dựng bám sát chuẩn toán học cập nhật nhất. Cấu trúc đề bảo đảm độ phủ kiến thức đồng đều, mức độ câu hỏi được cân chỉnh từ nhận biết đến vận dụng cao, phù hợp kiểm tra toàn diện năng lực. Hãy khai thác triệt để tài liệu này để đánh giá chính xác trình độ hiện tại và tối ưu chiến lược luyện thi của bạn.
MonToan.com.vn giới thiệu đến quý thầy, cô giáo và các em học sinh tài liệu ôn tập môn Toán 12 giữa học kỳ 2 năm học 2025 – 2026 trường THPT Bảo Lộc, tỉnh Lâm Đồng.
CHƯƠNG IV. NGUYÊN HÀM – TÍCH PHÂN 2.
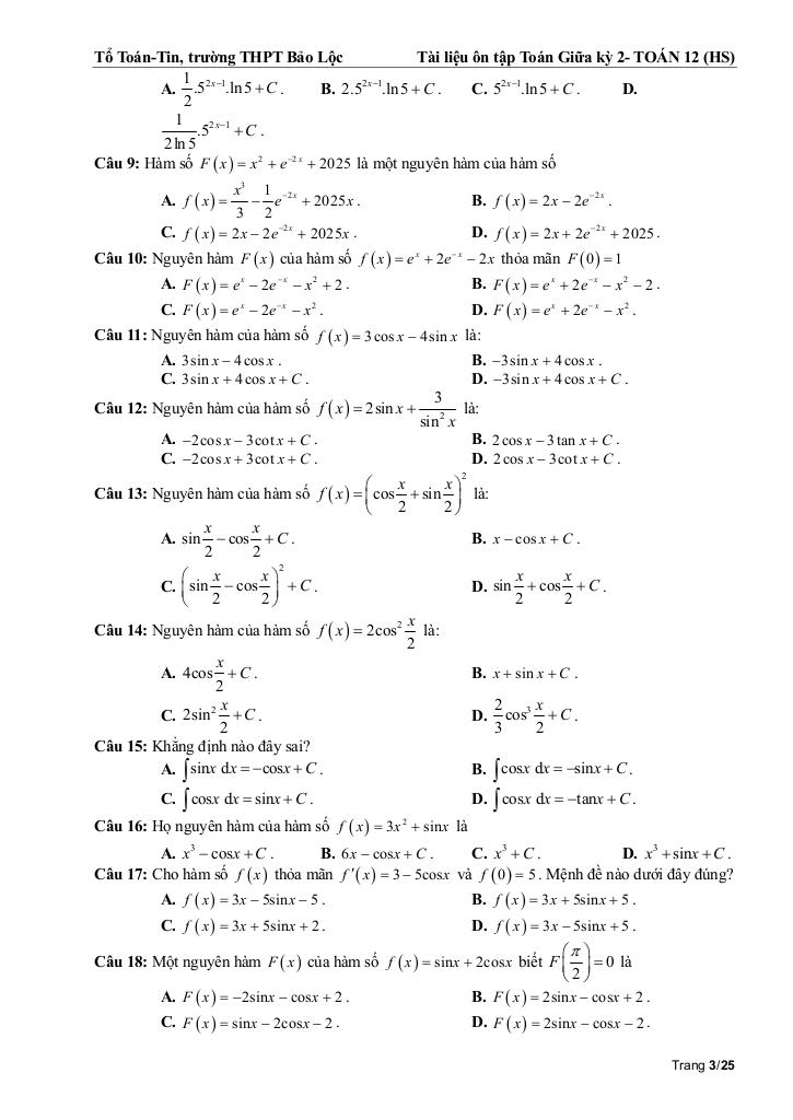
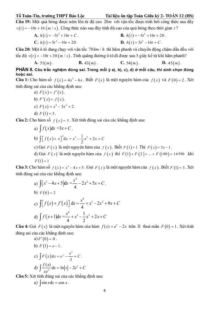
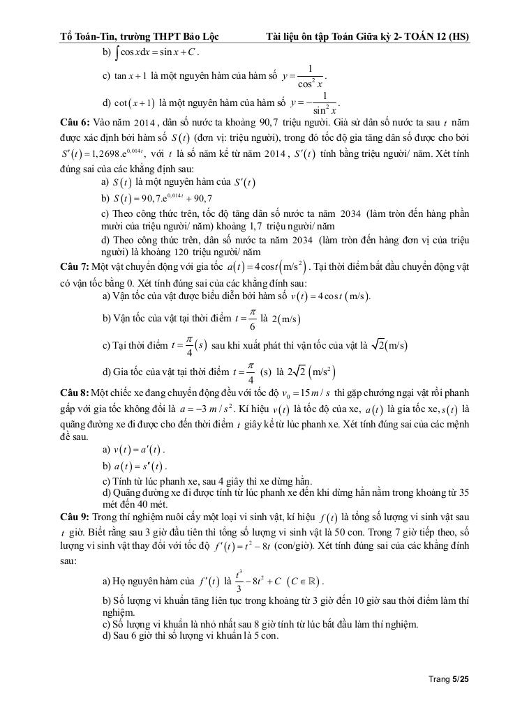
Bài 1. Nguyên hàm 2.
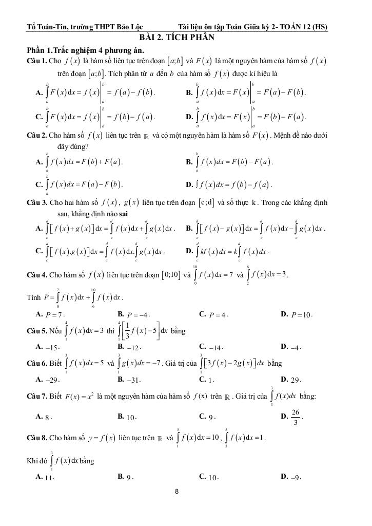
Bài 2. Tích phân 8.
Bài 3. Ứng dụng tích phân tích diện tích hình phẳng 11.
CHƯƠNG V. PHƯƠNG TRÌNH MẶT PHẲNG, ĐƯỜNG THẲNG 16.
Bài 1. Phương trình mặt phẳng 16.
Bài 2. Phương trình tham số và phương trình chính tắc của đường thẳng 19.
Bạn đang khám phá nội dung ôn tập toán 12 giữa kỳ 2 năm 2025 – 2026 trường thpt bảo lộc – lâm đồng trong chuyên mục đề toán lớp 12 trên nền tảng toán học. Được biên soạn chuyên sâu và bám sát chặt chẽ chương trình sách giáo khoa hiện hành, bộ bài tập toán thpt này cam kết tối ưu hóa toàn diện quá trình ôn luyện, củng cố kiến thức Toán lớp 12 cho học sinh THPT, thông qua phương pháp tiếp cận trực quan và mang lại hiệu quả học tập vượt trội, tạo nền tảng vững chắc cho Kỳ thi Tốt nghiệp THPT Quốc gia và hành trang vào đại học.
Download Center
Chọn tài liệu bạn muốn tải về
















