z Mục lục tài liệu
Nội dung chi tiết

1 / 10
Quý thầy cô và học sinh đang tham khảo biến đổi để tìm cực trị dạng phân thức, áp dụng vào phương trình bậc hai có tham số, bộ đề thi được xây dựng bám sát chuẩn soạn toán cập nhật nhất. Cấu trúc đề bảo đảm độ phủ kiến thức đồng đều, mức độ câu hỏi được cân chỉnh từ nhận biết đến vận dụng cao, phù hợp kiểm tra toàn diện năng lực. Hãy khai thác triệt để tài liệu này để đánh giá chính xác trình độ hiện tại và tối ưu chiến lược luyện thi của bạn.
Tài liệu gồm 15 trang, được biên soạn bởi thầy giáo Lương Công Hiển, hướng dẫn phương pháp – kỹ thuật biến đổi để tìm cực trị dạng phân thức, áp dụng vào phương trình bậc hai có tham số.
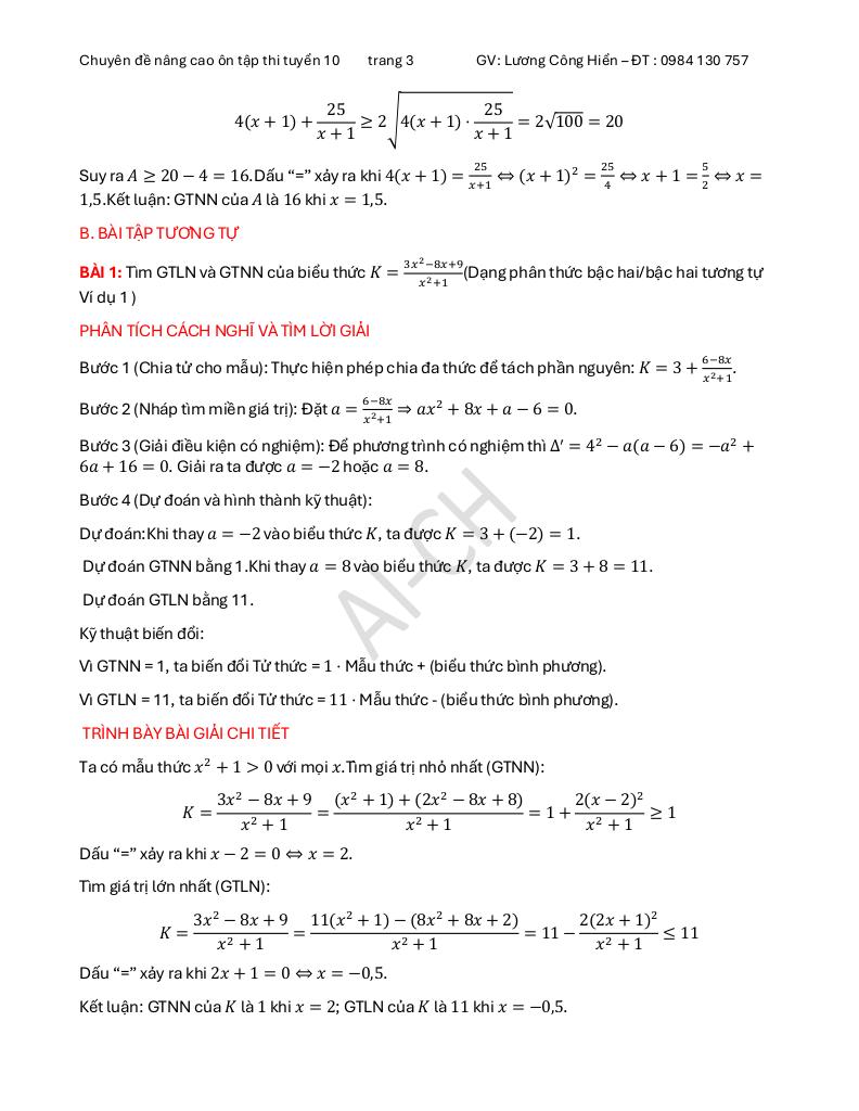
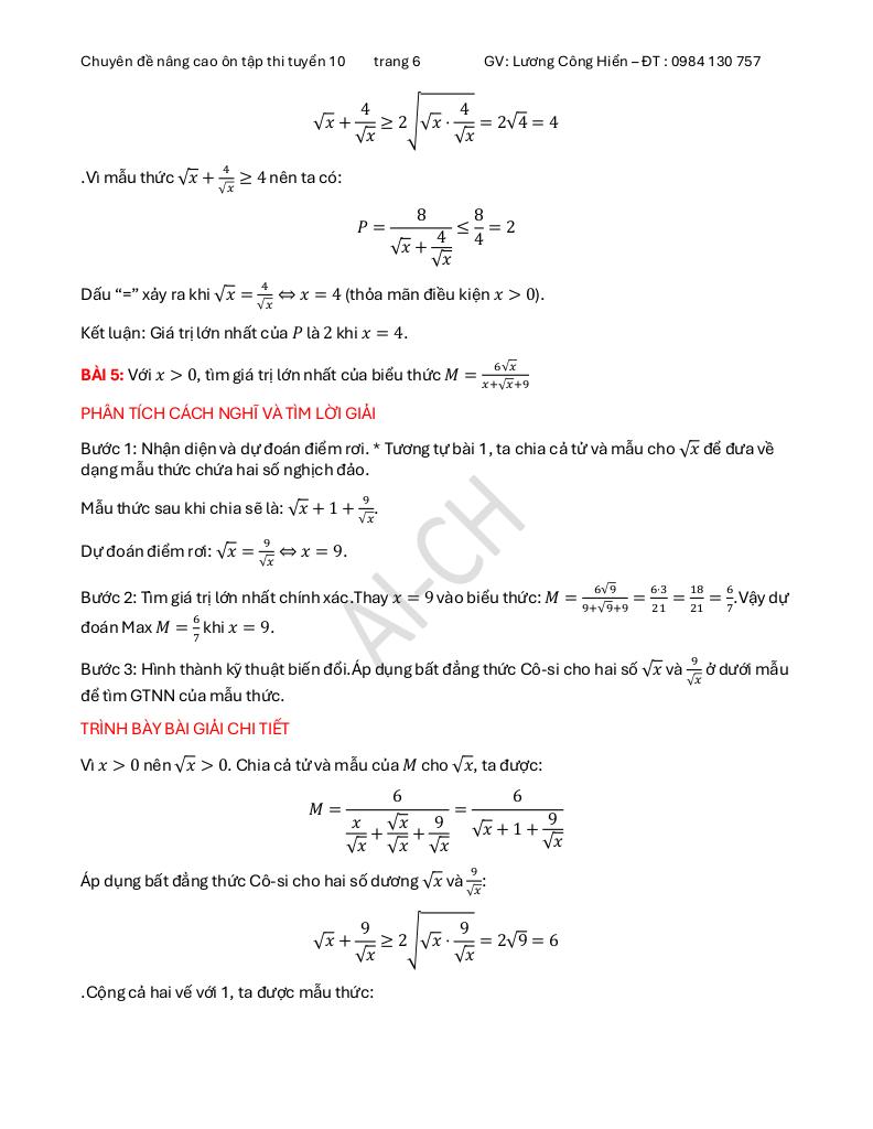
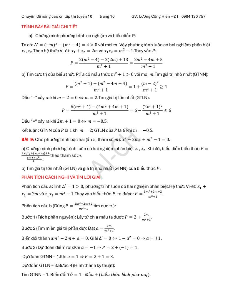
Chuyên đề này hướng dẫn học sinh các kỹ thuật tách tử thức theo mẫu thức để tìm giá trị lớn nhất (GTLN) và giá trị nhỏ nhất (GTNN).
Bạn đang khám phá nội dung biến đổi để tìm cực trị dạng phân thức, áp dụng vào phương trình bậc hai có tham số trong chuyên mục giải bài tập toán lớp 9 trên nền tảng soạn toán. Được biên soạn chuyên sâu và bám sát chương trình sách giáo khoa hiện hành, bộ bài tập lý thuyết toán thcs này cam kết tối ưu hóa toàn diện quá trình ôn luyện, củng cố kiến thức Toán lớp 9 cho học sinh, đặc biệt là chuẩn bị cho các kỳ thi quan trọng, thông qua phương pháp tiếp cận trực quan và mang lại hiệu quả học tập vượt trội.
Download Center
Chọn tài liệu bạn muốn tải về
















