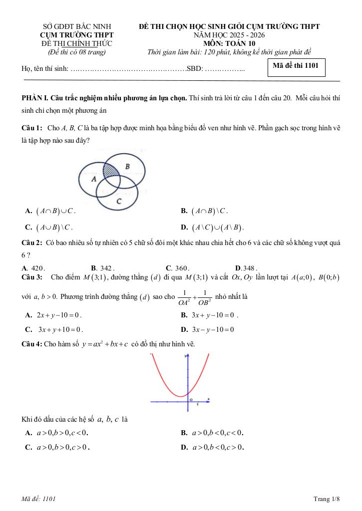
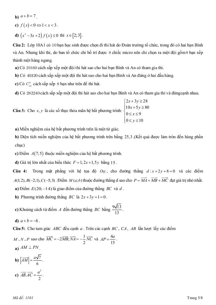
z Mục lục tài liệu
Nội dung chi tiết

MonToan.com.vn giới thiệu đến quý thầy, cô giáo và các em học sinh đề thi chọn học sinh giỏi môn Toán 10 năm học 2025 – 2026 cụm trường THPT, tỉnh Bắc Ninh. Đề thi gồm 20 câu trắc nghiệm nhiều phương án lựa chọn + 08 câu trắc nghiệm đúng sai + 06 câu trắc nghiệm trả lời ngắn, thời gian làm bài 120 phút, có đáp án mã đề 1101 1102 1103.
Trích dẫn Đề chọn học sinh giỏi Toán 10 năm 2025 – 2026 cụm trường THPT – Bắc Ninh:
+ Một đơn vị pháo binh phòng không ở chốt chặn A phát hiện máy bay địch ở vị trí B đang bay thẳng về hướng mình theo phương ngang với vận tốc 180 m/s và cách mặt đất 3 km. Pháo thủ quyết định đánh hạ mục tiêu với một phát bắn. Biết rằng tại thời điểm bị phát hiện máy bay ở tọa độ cách chốt A 1 km và vận tốc đạn bay là 720 m/s. Với cách đánh chặn mục tiêu nhanh nhất thì thời gian trúng mục tiêu tính từ khi nổ pháo là bao nhiêu giây (kết quả làm tròn đến hàng phần trăm)?
+ Chiếc cầu dây văng một nhịp được thiết kế hai bên thành cầu có dạng parabol và được cố định bằng các dây cáp song song. Dựa vào bản vẽ ở hình trên, biết dây dài nhất là 5m, dây ngắn nhất là 0,8m, khoảng cách giữa các dây bằng nhau, nhịp cầu dài 30 m. Cần tính thêm 5% chiều dài mỗi sợi dây cáp để neo cố định. Chiều dài tổng cộng của các dây cáp dọc ở hai mặt bên là bao nhiêu mét (kết quả làm tròn đến hàng đơn vị)?
+ Một xưởng cơ khí có hai công nhân là An và Bình. Xưởng sản xuất hai loại sản phẩm I và II. Mỗi sản phẩm loại I bán lãi 500 nghìn đồng, mỗi sản phẩm loại II bán lãi 400 nghìn đồng. Để sản xuất được một sản phẩm loại I thì An phải làm việc trong 3 giờ, Bình phải làm việc trong 1 giờ. Để sản xuất được một sản phẩm loại II thì An phải làm việc trong 2 giờ, Bình phải làm việc trong 6 giờ. Một người không thể tham gia làm hai loại sản phẩm tại cùng một thời điểm. Biết rằng trong một tháng An không thể làm việc quá 180 giờ và Bình không thể làm việc quá 220 giờ. Số tiền lãi lớn nhất trong một tháng của xưởng đó là bao nhiêu triệu đồng?
File WORD (dành cho quý thầy, cô): TẢI XUỐNG
Download Center
Chọn tài liệu bạn muốn tải về
















