z Mục lục tài liệu
Nội dung chi tiết

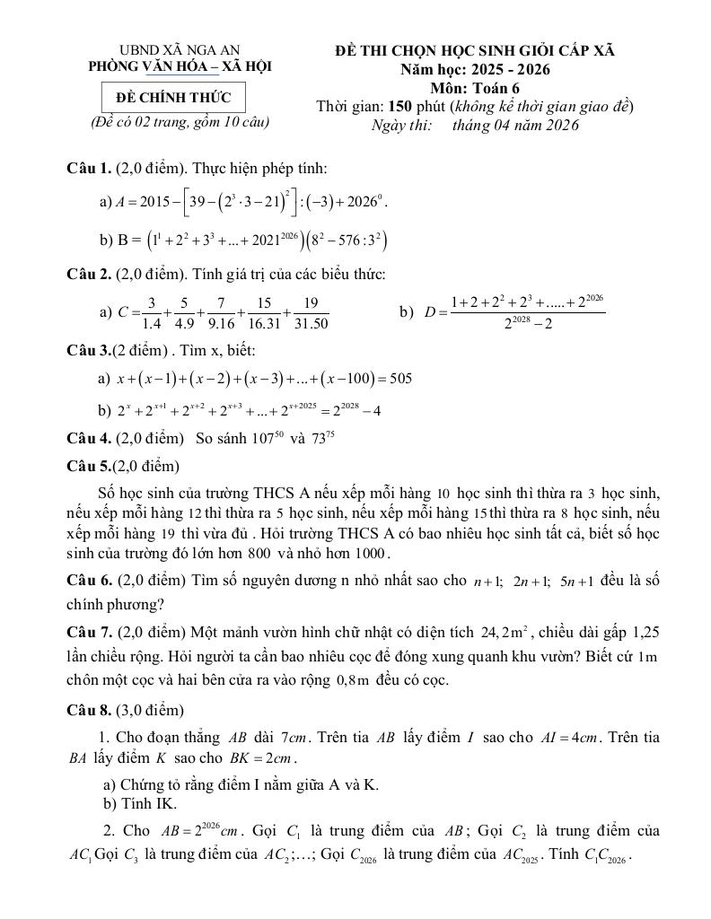
MonToan.com.vn giới thiệu đến quý thầy, cô giáo và các em học sinh đề thi chọn học sinh giỏi cấp xã môn Toán 6 năm học 2025 – 2026 xã Nga An, tỉnh Thanh Hóa. Kỳ thi được diễn ra vào tháng 04 năm 2026. Đề thi có đáp án, lời giải chi tiết và hướng dẫn chấm điểm.
Trích dẫn Đề chọn học sinh giỏi Toán 6 năm 2025 – 2026 xã Nga An – Thanh Hóa:
+ Số học sinh của trường THCS A nếu xếp mỗi hàng 10 học sinh thì thừa ra 3 học sinh, nếu xếp mỗi hàng 12 thì thừa ra 5 học sinh, nếu xếp mỗi hàng 15 thì thừa ra 8 học sinh, nếu xếp mỗi hàng 19 thì vừa đủ. Hỏi trường THCS A có bao nhiêu học sinh tất cả, biết số học sinh của trường đó lớn hơn 800 và nhỏ hơn 1000.
+ Một mảnh vườn hình chữ nhật có diện tích 24,2 m2, chiều dài gấp 1,25 lần chiều rộng. Hỏi người ta cần bao nhiêu cọc để đóng xung quanh khu vườn? Biết cứ 1 m chôn một cọc và hai bên cửa ra vào rộng 0,8 m đều có cọc.
+ Cho m đường thẳng (m ∈ N) trong đó bất kỳ hai đường thẳng nào cũng cắt nhau, không có ba đường thẳng nào cũng đi qua một điểm. Biết rằng số giao điểm của các đường thẳng đó là 190. Tính m.
File WORD (dành cho quý thầy, cô): TẢI XUỐNG
Download Center
Chọn tài liệu bạn muốn tải về













